Form 25A-R961 Application for Encroachment Permit for Encroachment in Existence on or Before January 1, 2005 - Alaska

Form 25A-R961 Application for Encroachment Permit for Encroachment in Existence on or Before January 1, 2005 - Alaska

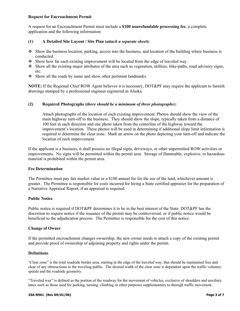
What Is Form 25A-R961?

This is a legal form that was released by the Alaska Department of Transportation and Public Facilities - a government authority operating within Alaska. As of today, no separate filing guidelines for the form are provided by the issuing department.

FAQ

Q: What is Form 25A-R961?
A: Form 25A-R961 is the Application for Encroachment Permit for Encroachment in Existence on or Before January 1, 2005 in Alaska.

Q: What is an Encroachment Permit?
A: An Encroachment Permit is a document that allows for the legal encroachment of physical structures or improvements on public or private property.

Q: Who needs to use Form 25A-R961?
A: Anyone who has an encroachment in existence on or before January 1, 2005 in Alaska and wants to apply for an encroachment permit needs to use Form 25A-R961.

Q: What should be included in the application?
A: The application should include information about the existing encroachment, such as its location, nature, and any necessary supporting documents.

Q: Are there any fees associated with the application?
A: Yes, there may be fees associated with the application. The specific fees and payment details can be obtained from the relevant government agency or department.

Q: What happens after submitting the application?
A: After submitting the application, it will be reviewed by the appropriate authorities. If approved, an encroachment permit will be issued.

Q: What if my encroachment is not eligible for a permit?
A: If your encroachment is not eligible for a permit, you may be required to remove or rectify the encroachment.

Q: Can I appeal a denial of the application?
A: Yes, you can appeal a denial of the application. The specific process for appealing a denial can be obtained from the relevant government agency or department.

Q: Is the encroachment permit transferable?
A: No, the encroachment permit is generally not transferable. It is specific to the property and encroachment for which it was issued.

ADVERTISEMENT

Form Details:

  • Released on September 1, 2006;
  • The latest edition provided by the Alaska Department of Transportation and Public Facilities;
  • Easy to use and ready to print;
  • Quick to customize;
  • Compatible with most PDF-viewing applications;
  • Fill out the form in our online filing application.

Download a printable version of Form 25A-R961 by clicking the link below or browse more documents and templates provided by the Alaska Department of Transportation and Public Facilities.

Download Form 25A-R961 Application for Encroachment Permit for Encroachment in Existence on or Before January 1, 2005 - Alaska

4.4 of 5 (34 votes)
  • Form 25A-R961 Application for Encroachment Permit for Encroachment in Existence on or Before January 1, 2005 - Alaska

    1

  • Form 25A-R961 Application for Encroachment Permit for Encroachment in Existence on or Before January 1, 2005 - Alaska, Page 2

    2

  • Form 25A-R961 Application for Encroachment Permit for Encroachment in Existence on or Before January 1, 2005 - Alaska, Page 3

    3

  • Form 25A-R961 Application for Encroachment Permit for Encroachment in Existence on or Before January 1, 2005 - Alaska, Page 4

    4

  • Form 25A-R961 Application for Encroachment Permit for Encroachment in Existence on or Before January 1, 2005 - Alaska, Page 5

    5

  • Form 25A-R961 Application for Encroachment Permit for Encroachment in Existence on or Before January 1, 2005 - Alaska, Page 6

    6

  • Form 25A-R961 Application for Encroachment Permit for Encroachment in Existence on or Before January 1, 2005 - Alaska, Page 7

    7

  • Form 25A-R961 Application for Encroachment Permit for Encroachment in Existence on or Before January 1, 2005 - Alaska, Page 1
  • Form 25A-R961 Application for Encroachment Permit for Encroachment in Existence on or Before January 1, 2005 - Alaska, Page 2
  • Form 25A-R961 Application for Encroachment Permit for Encroachment in Existence on or Before January 1, 2005 - Alaska, Page 3
  • Form 25A-R961 Application for Encroachment Permit for Encroachment in Existence on or Before January 1, 2005 - Alaska, Page 4
  • Form 25A-R961 Application for Encroachment Permit for Encroachment in Existence on or Before January 1, 2005 - Alaska, Page 5
  • Form 25A-R961 Application for Encroachment Permit for Encroachment in Existence on or Before January 1, 2005 - Alaska, Page 6
  • Form 25A-R961 Application for Encroachment Permit for Encroachment in Existence on or Before January 1, 2005 - Alaska, Page 7
Prev 1 2 3 4 5 ... 7 Next
ADVERTISEMENT

Related Documents