Food Establishment Plan Review Supplement - Alaska

Food Establishment Plan Review Supplement - Alaska

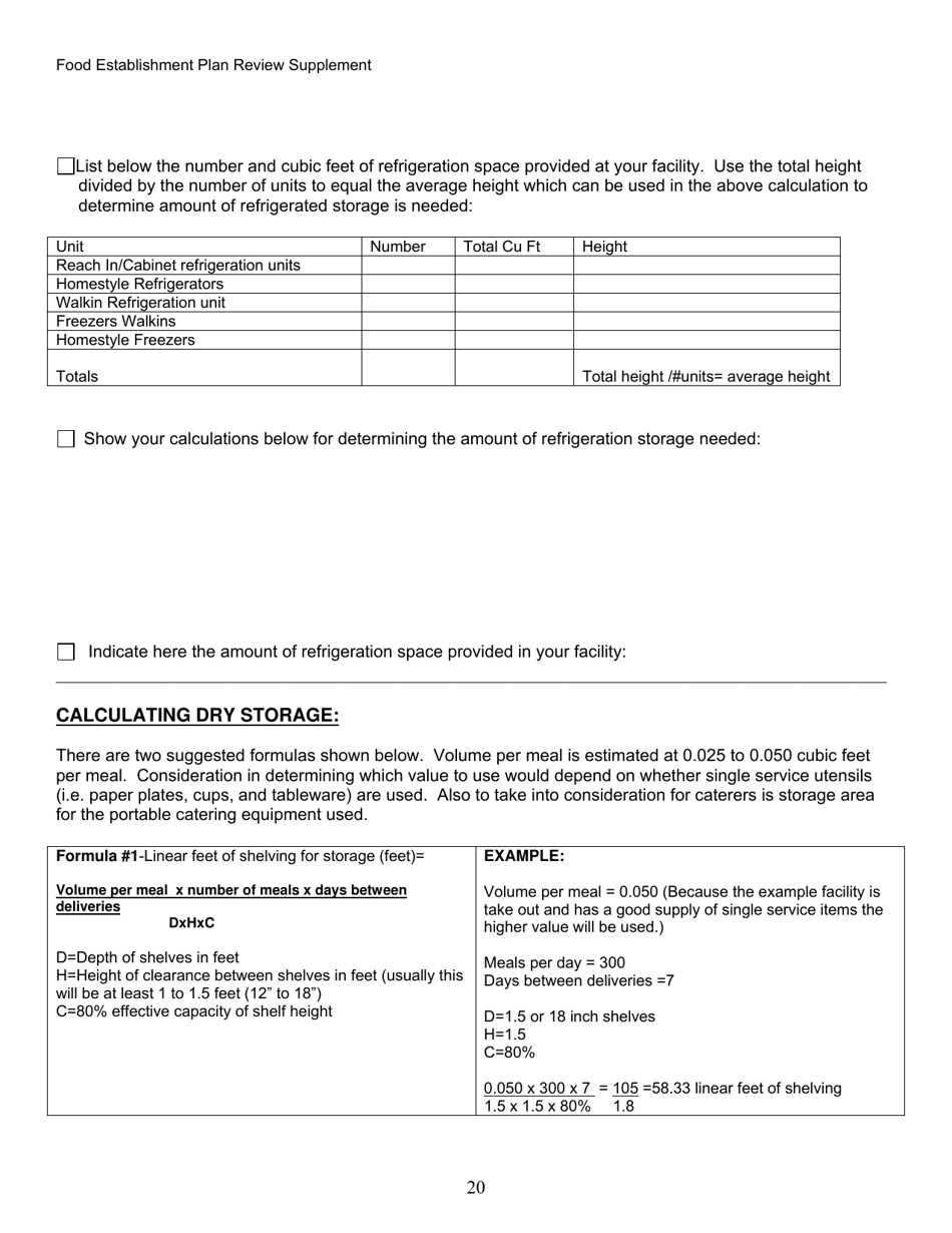
Food Establishment Plan Review Supplement is a legal document that was released by the Alaska Department of Environmental Conservation - a government authority operating within Alaska.

FAQ

Q: What is a Food Establishment Plan Review?
A: A Food Establishment Plan Review is the process through which Alaska's Department of Environmental Conservation (DEC) reviews the plans and specifications for new or remodeled food establishments.

Q: Is a Food Establishment Plan Review required?
A: Yes, a Food Establishment Plan Review is required for all new food establishments or major remodeling projects in Alaska.

Q: What documents are needed for a Food Establishment Plan Review?
A: The required documents for a Food Establishment Plan Review include a completed application form, detailed plans and specifications of the proposed establishment, and the appropriate fees.

Q: How long does the review process take?
A: The review process typically takes 4-6 weeks, but it may vary depending on the complexity of the project and the number of applications being reviewed.

Q: Who conducts the Food Establishment Plan Review?
A: The Food Establishment Plan Review is conducted by the Alaska Department of Environmental Conservation, specifically the Food Safety and Sanitation Program.

Q: What are the fees for a Food Establishment Plan Review?
A: The fee for a Food Establishment Plan Review is $500 for new food establishments, $350 for additions or major remodels, and $150 for minor remodels or changes in ownership.

ADVERTISEMENT

Form Details:

  • The latest edition currently provided by the Alaska Department of Environmental Conservation;
  • Ready to use and print;
  • Easy to customize;
  • Compatible with most PDF-viewing applications;
  • Fill out the form in our online filing application.

Download a printable version of the form by clicking the link below or browse more documents and templates provided by the Alaska Department of Environmental Conservation.

Download Food Establishment Plan Review Supplement - Alaska

4.8 of 5 (21 votes)
  • Food Establishment Plan Review Supplement - Alaska

    1

  • Food Establishment Plan Review Supplement - Alaska, Page 2

    2

  • Food Establishment Plan Review Supplement - Alaska, Page 3

    3

  • Food Establishment Plan Review Supplement - Alaska, Page 4

    4

  • Food Establishment Plan Review Supplement - Alaska, Page 5

    5

  • Food Establishment Plan Review Supplement - Alaska, Page 6

    6

  • Food Establishment Plan Review Supplement - Alaska, Page 7

    7

  • Food Establishment Plan Review Supplement - Alaska, Page 8

    8

  • Food Establishment Plan Review Supplement - Alaska, Page 9

    9

  • Food Establishment Plan Review Supplement - Alaska, Page 10

    10

  • Food Establishment Plan Review Supplement - Alaska, Page 11

    11

  • Food Establishment Plan Review Supplement - Alaska, Page 12

    12

  • Food Establishment Plan Review Supplement - Alaska, Page 13

    13

  • Food Establishment Plan Review Supplement - Alaska, Page 14

    14

  • Food Establishment Plan Review Supplement - Alaska, Page 15

    15

  • Food Establishment Plan Review Supplement - Alaska, Page 16

    16

  • Food Establishment Plan Review Supplement - Alaska, Page 17

    17

  • Food Establishment Plan Review Supplement - Alaska, Page 18

    18

  • Food Establishment Plan Review Supplement - Alaska, Page 19

    19

  • Food Establishment Plan Review Supplement - Alaska, Page 20

    20

  • Food Establishment Plan Review Supplement - Alaska, Page 21

    21

  • Food Establishment Plan Review Supplement - Alaska, Page 22

    22

  • Food Establishment Plan Review Supplement - Alaska, Page 23

    23

  • Food Establishment Plan Review Supplement - Alaska, Page 24

    24

  • Food Establishment Plan Review Supplement - Alaska, Page 1
  • Food Establishment Plan Review Supplement - Alaska, Page 2
  • Food Establishment Plan Review Supplement - Alaska, Page 3
  • Food Establishment Plan Review Supplement - Alaska, Page 4
  • Food Establishment Plan Review Supplement - Alaska, Page 5
  • Food Establishment Plan Review Supplement - Alaska, Page 6
  • Food Establishment Plan Review Supplement - Alaska, Page 7
  • Food Establishment Plan Review Supplement - Alaska, Page 8
  • Food Establishment Plan Review Supplement - Alaska, Page 9
  • Food Establishment Plan Review Supplement - Alaska, Page 10
  • Food Establishment Plan Review Supplement - Alaska, Page 11
  • Food Establishment Plan Review Supplement - Alaska, Page 12
  • Food Establishment Plan Review Supplement - Alaska, Page 13
  • Food Establishment Plan Review Supplement - Alaska, Page 14
  • Food Establishment Plan Review Supplement - Alaska, Page 15
  • Food Establishment Plan Review Supplement - Alaska, Page 16
  • Food Establishment Plan Review Supplement - Alaska, Page 17
  • Food Establishment Plan Review Supplement - Alaska, Page 18
  • Food Establishment Plan Review Supplement - Alaska, Page 19
  • Food Establishment Plan Review Supplement - Alaska, Page 20
  • Food Establishment Plan Review Supplement - Alaska, Page 21
  • Food Establishment Plan Review Supplement - Alaska, Page 22
  • Food Establishment Plan Review Supplement - Alaska, Page 23
  • Food Establishment Plan Review Supplement - Alaska, Page 24
Prev 1 2 3 4 5 ... 24 Next
ADVERTISEMENT