Form NMO-6080 Sed / Smi Mco Disenrollment Form - Nevada

Notification Icon This version of the form is not currently in use and is provided for reference only. Download this version of Form NMO-6080 for the current year.

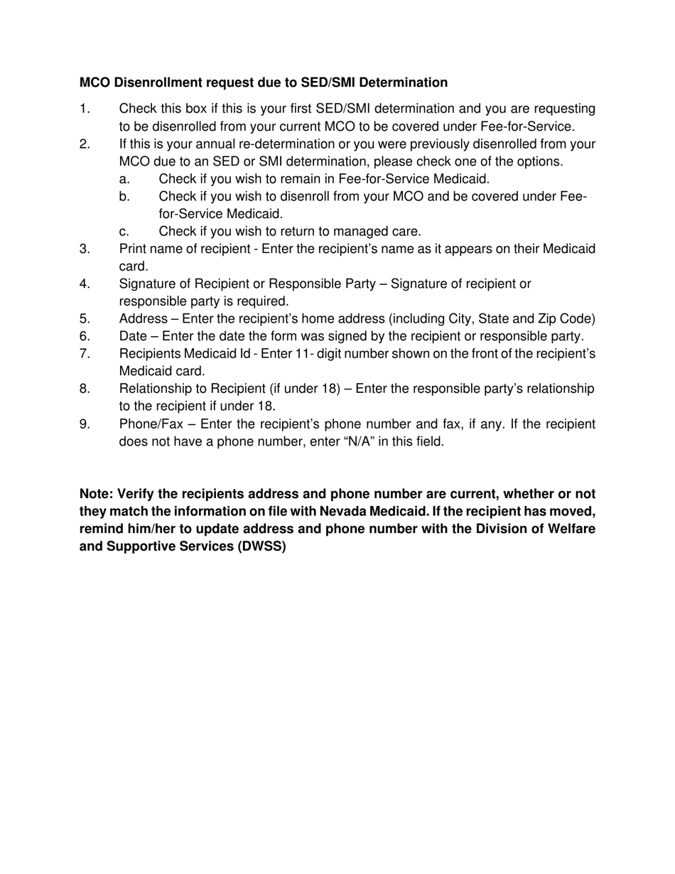
Form NMO-6080 Sed / Smi Mco Disenrollment Form - Nevada

What Is Form NMO-6080?

This is a legal form that was released by the Nevada Department of Health and Human Services - a government authority operating within Nevada. As of today, no separate filing guidelines for the form are provided by the issuing department.

FAQ

Q: What is Form NMO-6080?
A: Form NMO-6080 is the Sed/Smi Mco Disenrollment Form for Nevada.

Q: What is the purpose of Form NMO-6080?
A: The purpose of Form NMO-6080 is to request disenrollment from the Sed/Smi Mco program in Nevada.

Q: What information do I need to provide on Form NMO-6080?
A: You will need to provide your personal information, such as your name, address, and Sed/Smi Mco program identification number, as well as the reason for disenrollment.

Q: Is there a deadline for submitting Form NMO-6080?
A: It is important to check with your Sed/Smi Mco program for any specific deadlines for disenrollment requests.

Q: Can I appeal a denial of disenrollment on Form NMO-6080?
A: Yes, if your disenrollment request is denied, you have the right to appeal the decision. Contact your Sed/Smi Mco program for information on the appeals process.

Q: Are there any fees associated with submitting Form NMO-6080?
A: No, there are no fees associated with submitting Form NMO-6080.

Q: Can I make changes to my enrollment after submitting Form NMO-6080?
A: Once you submit Form NMO-6080 and your disenrollment request is processed, you will need to contact your Sed/Smi Mco program for any changes or new enrollment requests.

ADVERTISEMENT

Form Details:

  • Released on November 1, 2020;
  • The latest edition provided by the Nevada Department of Health and Human Services;
  • Easy to use and ready to print;
  • Quick to customize;
  • Compatible with most PDF-viewing applications;
  • Fill out the form in our online filing application.

Download a fillable version of Form NMO-6080 by clicking the link below or browse more documents and templates provided by the Nevada Department of Health and Human Services.

Download Form NMO-6080 Sed / Smi Mco Disenrollment Form - Nevada

4.4 of 5 (23 votes)
  • Form NMO-6080 Sed/Smi Mco Disenrollment Form - Nevada

    1

  • Form NMO-6080 Sed/Smi Mco Disenrollment Form - Nevada, Page 2

    2

  • Form NMO-6080 Sed/Smi Mco Disenrollment Form - Nevada, Page 3

    3

  • Form NMO-6080 Sed/Smi Mco Disenrollment Form - Nevada, Page 4

    4

  • Form NMO-6080 Sed/Smi Mco Disenrollment Form - Nevada, Page 5

    5

  • Form NMO-6080 Sed/Smi Mco Disenrollment Form - Nevada, Page 6

    6

  • Form NMO-6080 Sed/Smi Mco Disenrollment Form - Nevada, Page 7

    7

  • Form NMO-6080 Sed / Smi Mco Disenrollment Form - Nevada, Page 1
  • Form NMO-6080 Sed / Smi Mco Disenrollment Form - Nevada, Page 2
  • Form NMO-6080 Sed / Smi Mco Disenrollment Form - Nevada, Page 3
  • Form NMO-6080 Sed / Smi Mco Disenrollment Form - Nevada, Page 4
  • Form NMO-6080 Sed / Smi Mco Disenrollment Form - Nevada, Page 5
  • Form NMO-6080 Sed / Smi Mco Disenrollment Form - Nevada, Page 6
  • Form NMO-6080 Sed / Smi Mco Disenrollment Form - Nevada, Page 7
Prev 1 2 3 4 5 ... 7 Next
ADVERTISEMENT