Form 2F-P-458 Order Re: Custody Visitation, Support After Voluntary Establishment of Paternity - Hawaii

Notification Icon This version of the form is not currently in use and is provided for reference only. Download this version of Form 2F-P-458 for the current year.

Form 2F-P-458 Order Re: Custody Visitation, Support After Voluntary Establishment of Paternity - Hawaii

What Is Form 2F-P-458?

This is a legal form that was released by the Hawaii Family Court - a government authority operating within Hawaii. As of today, no separate filing guidelines for the form are provided by the issuing department.

FAQ

Q: What is the purpose of Form 2F-P-458?
A: Form 2F-P-458 is used to establish custody, visitation, and support arrangements after the voluntary establishment of paternity.

Q: Who can use Form 2F-P-458?
A: Form 2F-P-458 can be used by parents in Hawaii who have voluntarily established paternity.

Q: What does Form 2F-P-458 cover?
A: Form 2F-P-458 covers custody, visitation, and support arrangements after paternity has been established.

Q: Is legal representation required when using Form 2F-P-458?
A: Legal representation is not required, but it is recommended to seek legal advice when completing the form.

Q: Can Form 2F-P-458 be modified?
A: Yes, Form 2F-P-458 can be modified if there are changes in circumstances or if the parties agree to modify the arrangements.

Q: What should I do after completing Form 2F-P-458?
A: After completing Form 2F-P-458, you should file it with the family court clerk's office and serve a copy on the other party.

ADVERTISEMENT

Form Details:

  • Released on January 1, 2021;
  • The latest edition provided by the Hawaii Family Court;
  • Easy to use and ready to print;
  • Quick to customize;
  • Compatible with most PDF-viewing applications;
  • Fill out the form in our online filing application.

Download a fillable version of Form 2F-P-458 by clicking the link below or browse more documents and templates provided by the Hawaii Family Court.

Download Form 2F-P-458 Order Re: Custody Visitation, Support After Voluntary Establishment of Paternity - Hawaii

4.7 of 5 (16 votes)
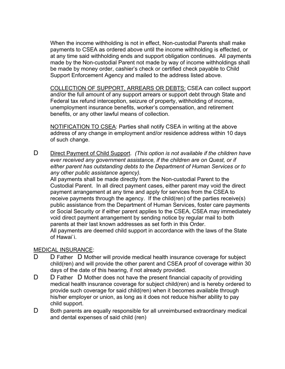
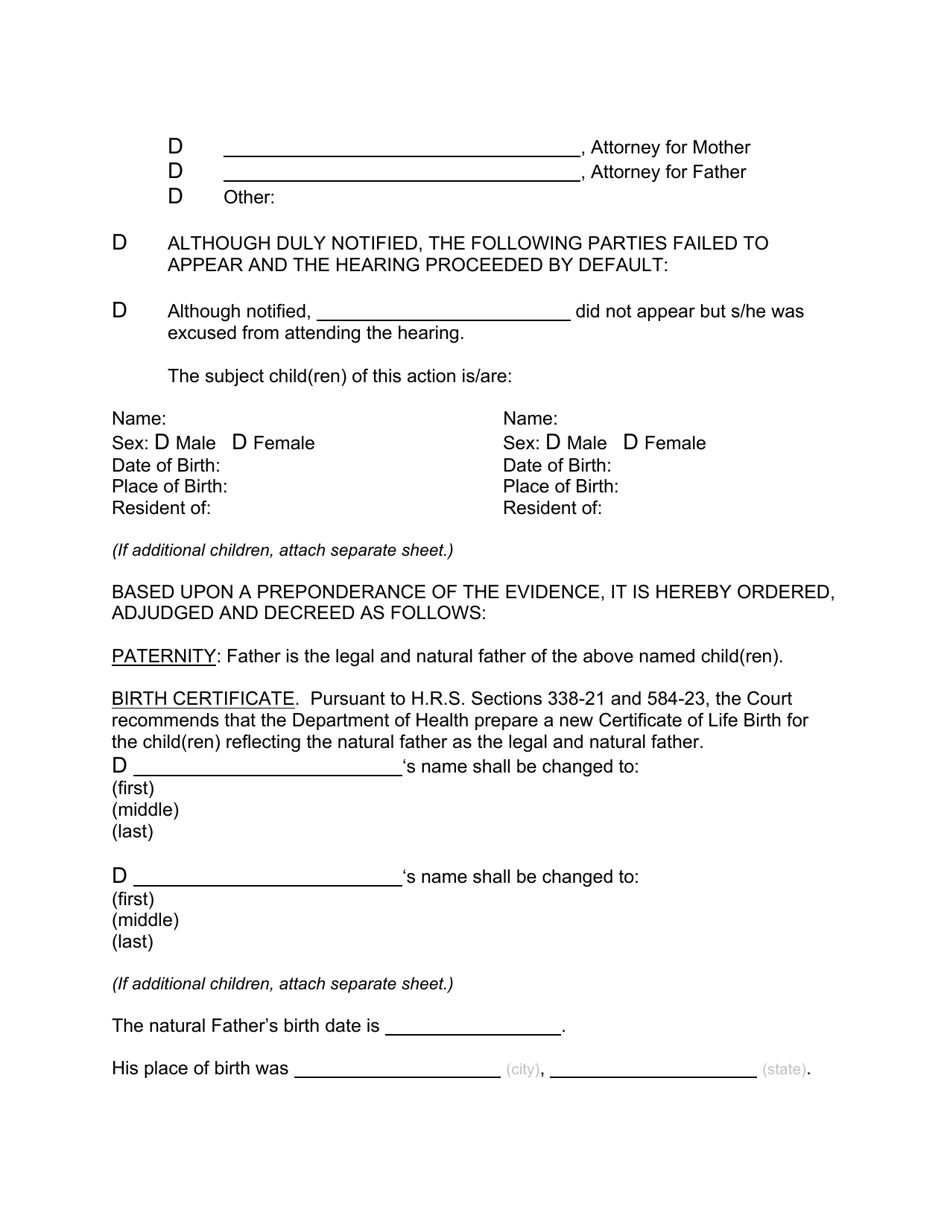
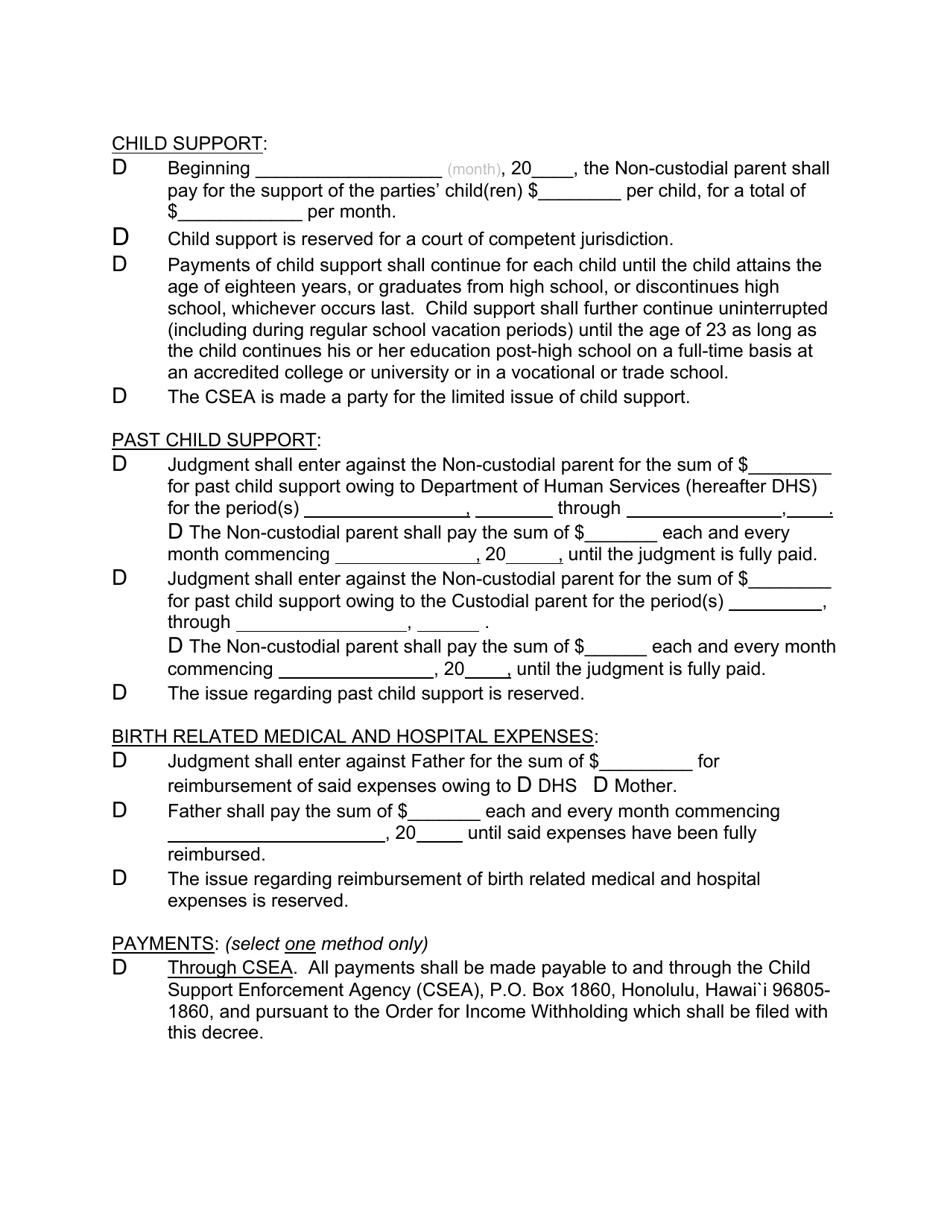
  • Form 2F-P-458 Order Re: Custody Visitation, Support After Voluntary Establishment of Paternity - Hawaii

    1

  • Form 2F-P-458 Order Re: Custody Visitation, Support After Voluntary Establishment of Paternity - Hawaii, Page 2

    2

  • Form 2F-P-458 Order Re: Custody Visitation, Support After Voluntary Establishment of Paternity - Hawaii, Page 3

    3

  • Form 2F-P-458 Order Re: Custody Visitation, Support After Voluntary Establishment of Paternity - Hawaii, Page 4

    4

  • Form 2F-P-458 Order Re: Custody Visitation, Support After Voluntary Establishment of Paternity - Hawaii, Page 5

    5

  • Form 2F-P-458 Order Re: Custody Visitation, Support After Voluntary Establishment of Paternity - Hawaii, Page 6

    6

  • Form 2F-P-458 Order Re: Custody Visitation, Support After Voluntary Establishment of Paternity - Hawaii, Page 1
  • Form 2F-P-458 Order Re: Custody Visitation, Support After Voluntary Establishment of Paternity - Hawaii, Page 2
  • Form 2F-P-458 Order Re: Custody Visitation, Support After Voluntary Establishment of Paternity - Hawaii, Page 3
  • Form 2F-P-458 Order Re: Custody Visitation, Support After Voluntary Establishment of Paternity - Hawaii, Page 4
  • Form 2F-P-458 Order Re: Custody Visitation, Support After Voluntary Establishment of Paternity - Hawaii, Page 5
  • Form 2F-P-458 Order Re: Custody Visitation, Support After Voluntary Establishment of Paternity - Hawaii, Page 6
Prev 1 2 3 4 5 6 Next
ADVERTISEMENT

Related Documents