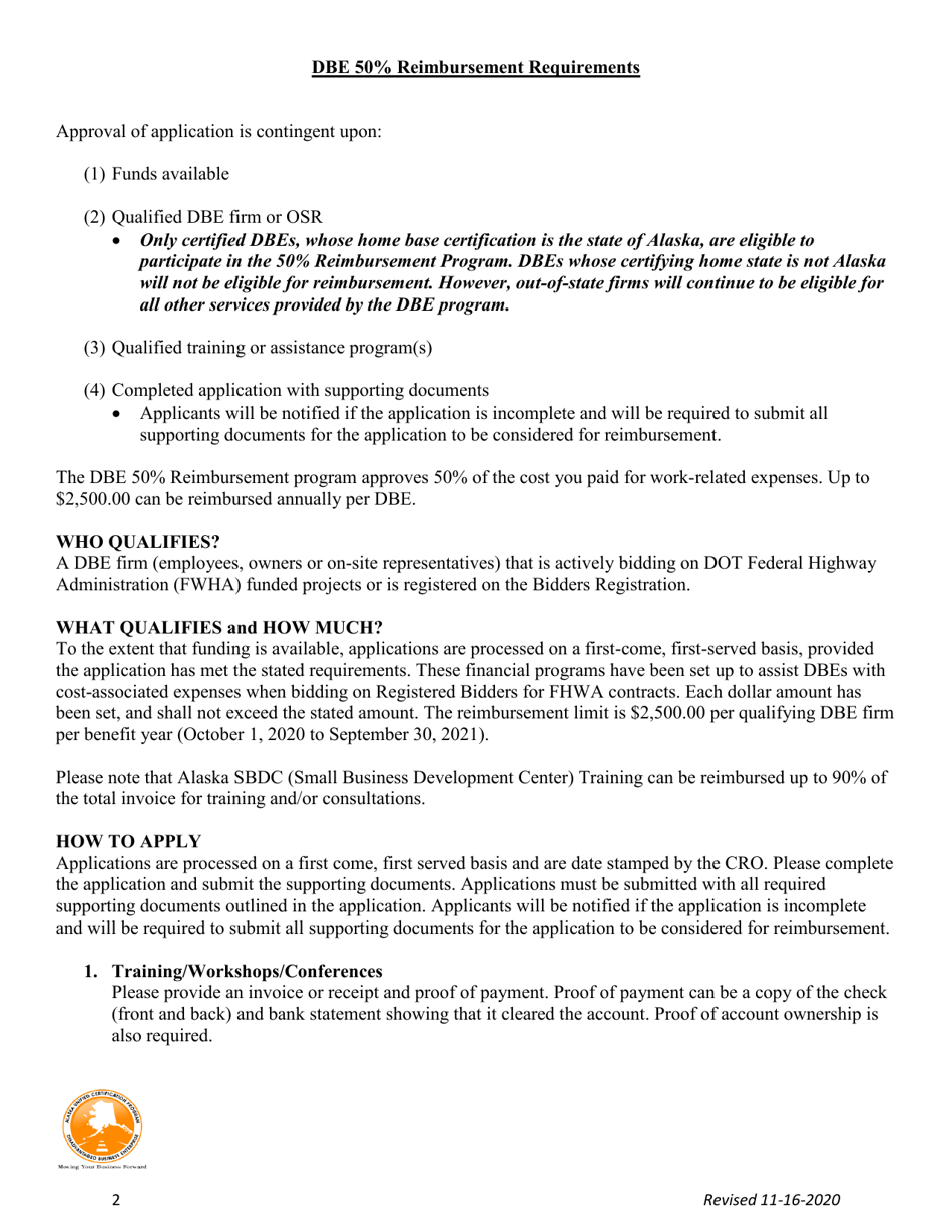
Dbe 50% Reimbursement Application - Alaska

Notification Icon This version of the form is not currently in use and is provided for reference only. Download this version of the document for the current year.

Dbe 50% Reimbursement Application - Alaska

Dbe 50% Reimbursement Application is a legal document that was released by the Alaska Department of Transportation and Public Facilities - a government authority operating within Alaska.

FAQ

Q: What is the Dbe 50% Reimbursement Application?
A: The Dbe 50% Reimbursement Application is a program in Alaska that provides reimbursement for eligible businesses owned by socially and economically disadvantaged individuals.

Q: Who is eligible for the Dbe 50% Reimbursement Application?
A: Eligible businesses for the Dbe 50% Reimbursement Application are those owned by socially and economically disadvantaged individuals.

Q: What does Dbe stand for in the Dbe 50% Reimbursement Application?
A: DBE stands for Disadvantaged Business Enterprise.

Q: What does the Dbe 50% Reimbursement Application reimburse?
A: The Dbe 50% Reimbursement Application can reimburse eligible businesses for 50% of their eligible project costs.

Q: How can I apply for the Dbe 50% Reimbursement Application?
A: To apply for the Dbe 50% Reimbursement Application, you will need to complete an application form and provide necessary documentation. Please contact the relevant authorities in Alaska for more information and application procedures.

ADVERTISEMENT

Form Details:

  • Released on November 16, 2020;
  • The latest edition currently provided by the Alaska Department of Transportation and Public Facilities;
  • Ready to use and print;
  • Easy to customize;
  • Compatible with most PDF-viewing applications;
  • Fill out the form in our online filing application.

Download a printable version of the form by clicking the link below or browse more documents and templates provided by the Alaska Department of Transportation and Public Facilities.

Download Dbe 50% Reimbursement Application - Alaska

4.7 of 5 (7 votes)
  • Dbe 50% Reimbursement Application - Alaska

    1

  • Dbe 50% Reimbursement Application - Alaska, Page 2

    2

  • Dbe 50% Reimbursement Application - Alaska, Page 3

    3

  • Dbe 50% Reimbursement Application - Alaska, Page 1
  • Dbe 50% Reimbursement Application - Alaska, Page 2
  • Dbe 50% Reimbursement Application - Alaska, Page 3
Prev 1 2 3 Next
ADVERTISEMENT