SBA Form 2484 Paycheck Protection Program Lender's Application - Paycheck Protection Program Loan Guaranty

Notification Icon This version of the form is not currently in use and is provided for reference only. Download this version of SBA Form 2484 for the current year.

SBA Form 2484 Paycheck Protection Program Lender's Application - Paycheck Protection Program Loan Guaranty

What Is SBA Form 2484?

This is a legal form that was released by the U.S. Small Business Administration on January 8, 2021 and used country-wide. As of today, no separate filing guidelines for the form are provided by the issuing department.

FAQ

Q: What is SBA Form 2484?
A: SBA Form 2484 is the Paycheck Protection Program Lender's Application form.

Q: What is the Paycheck Protection Program?
A: The Paycheck Protection Program is a loan program administered by the Small Business Administration (SBA) to help small businesses keep their workforce employed during the COVID-19 crisis.

Q: What is the purpose of SBA Form 2484?
A: The purpose of SBA Form 2484 is to serve as the application form for lenders to participate in the Paycheck Protection Program and submit loan requests on behalf of small businesses.

Q: Who can use SBA Form 2484?
A: Lenders who are approved by the SBA and are participating in the Paycheck Protection Program can use SBA Form 2484.

Q: What information is required on SBA Form 2484?
A: SBA Form 2484 requires information such as the lender's contact details, loan amount requested, borrower information, and certification statements.

Q: How do I submit SBA Form 2484?
A: The completed SBA Form 2484 should be submitted to approved lenders who are participating in the Paycheck Protection Program.

Q: Is SBA Form 2484 the only form required for the Paycheck Protection Program?
A: No, in addition to SBA Form 2484, borrowers are also required to complete and submit SBA Form 2483, which is the Borrower Application form for the Paycheck Protection Program.

ADVERTISEMENT

Form Details:

  • Released on January 8, 2021;
  • The latest available edition released by the U.S. Small Business Administration;
  • Easy to use and ready to print;
  • Yours to fill out and keep for your records;
  • Compatible with most PDF-viewing applications;
  • Fill out the form in our online filing application.

Download a fillable version of SBA Form 2484 by clicking the link below or browse more documents and templates provided by the U.S. Small Business Administration.

Download SBA Form 2484 Paycheck Protection Program Lender's Application - Paycheck Protection Program Loan Guaranty

4.8 of 5 (26 votes)
  • SBA Form 2484 Paycheck Protection Program Lender's Application - Paycheck Protection Program Loan Guaranty

    1

  • SBA Form 2484 Paycheck Protection Program Lender's Application - Paycheck Protection Program Loan Guaranty, Page 2

    2

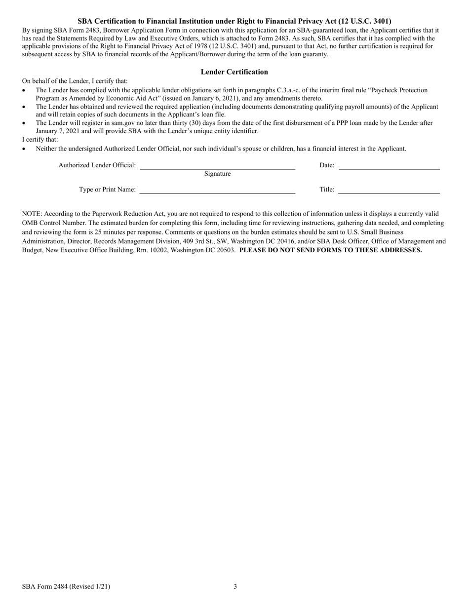
  • SBA Form 2484 Paycheck Protection Program Lender's Application - Paycheck Protection Program Loan Guaranty, Page 3

    3

  • SBA Form 2484 Paycheck Protection Program Lenders Application - Paycheck Protection Program Loan Guaranty, Page 1
  • SBA Form 2484 Paycheck Protection Program Lenders Application - Paycheck Protection Program Loan Guaranty, Page 2
  • SBA Form 2484 Paycheck Protection Program Lenders Application - Paycheck Protection Program Loan Guaranty, Page 3
Prev 1 2 3 Next
ADVERTISEMENT

Related Documents