Form HLTH5478 Special Authority Request - Ledipasvir Plus Sofosbuvir With or Without Ribavirin (Rbv) for Chronic Hepatitis C - British Columbia, Canada

Notification Icon This version of the form is not currently in use and is provided for reference only. Download this version of Form HLTH5478 for the current year.

Form HLTH5478 Special Authority Request - Ledipasvir Plus Sofosbuvir With or Without Ribavirin (Rbv) for Chronic Hepatitis C - British Columbia, Canada

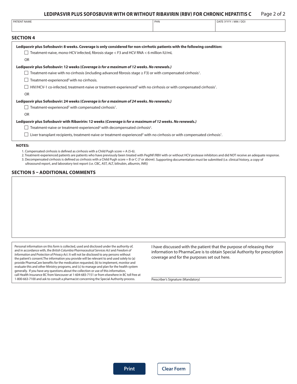
Form HLTH5478 Special Authority Request - Ledipasvir Plus Sofosbuvir With or Without Ribavirin (Rbv) for Chronic Hepatitis C - British Columbia, Canada is a form used to request special authority for the use of Ledipasvir Plus Sofosbuvir medication for the treatment of Chronic Hepatitis C in British Columbia, Canada.

The form HLTH5478 is filed by patients or their healthcare providers in British Columbia, Canada.

FAQ

Q: What is a Special Authority Request?
A: A Special Authority Request is a formal application made by a healthcare provider to the British Columbia Ministry of Health to request coverage for a specific medication or treatment that is not automatically covered by the provincial drug plan.

Q: What is Ledipasvir Plus Sofosbuvir?
A: Ledipasvir Plus Sofosbuvir is a combination medication used to treat chronic hepatitis C, a viral infection that affects the liver.

Q: What is Ribavirin?
A: Ribavirin is another medication that may be used in combination with Ledipasvir Plus Sofosbuvir to treat chronic hepatitis C.

Q: Who is eligible for coverage under this Special Authority Request?
A: The Special Authority Request for Ledipasvir Plus Sofosbuvir With or Without Ribavirin is specifically for patients with chronic hepatitis C who meet certain criteria set by the British Columbia Ministry of Health.

Q: What are the criteria to be eligible for coverage?
A: The specific criteria for eligibility will be outlined in the Special Authority Request form, but generally, patients must have a confirmed diagnosis of chronic hepatitis C and meet certain clinical and medical criteria set by the British Columbia Ministry of Health.

Q: How can a healthcare provider make a Special Authority Request?
A: A healthcare provider can make a Special Authority Request by completing the Form HLTH5478, which is the official application form for this particular request. The completed form can be submitted to the British Columbia Ministry of Health for review.

Q: Is there a fee for submitting a Special Authority Request?
A: No, there is no fee for submitting a Special Authority Request.

Q: How long does it take for a Special Authority Request to be processed?
A: The processing time for a Special Authority Request can vary, but it typically takes several weeks for the Ministry of Health to review and make a decision.

Q: What happens after a Special Authority Request is approved?
A: If a Special Authority Request is approved, the medication or treatment specified in the request will be covered by the British Columbia Ministry of Health's drug plan, subject to any specified conditions or restrictions.

Q: What happens if a Special Authority Request is denied?
A: If a Special Authority Request is denied, the healthcare provider and patient will be notified of the decision, and alternative treatment options may be explored.

ADVERTISEMENT

Download Form HLTH5478 Special Authority Request - Ledipasvir Plus Sofosbuvir With or Without Ribavirin (Rbv) for Chronic Hepatitis C - British Columbia, Canada

4.5 of 5 (12 votes)
  • Form HLTH5478 Special Authority Request - Ledipasvir Plus Sofosbuvir With or Without Ribavirin (Rbv) for Chronic Hepatitis C - British Columbia, Canada

    1

  • Form HLTH5478 Special Authority Request - Ledipasvir Plus Sofosbuvir With or Without Ribavirin (Rbv) for Chronic Hepatitis C - British Columbia, Canada, Page 2

    2

  • Form HLTH5478 Special Authority Request - Ledipasvir Plus Sofosbuvir With or Without Ribavirin (Rbv) for Chronic Hepatitis C - British Columbia, Canada, Page 1
  • Form HLTH5478 Special Authority Request - Ledipasvir Plus Sofosbuvir With or Without Ribavirin (Rbv) for Chronic Hepatitis C - British Columbia, Canada, Page 2
Prev 1 2 Next
ADVERTISEMENT