Form 11313 Adoption Information Disclosure Application to Register or Withdraw a No Contact Notice - Ontario, Canada

Form 11313 Adoption Information Disclosure Application to Register or Withdraw a No Contact Notice - Ontario, Canada

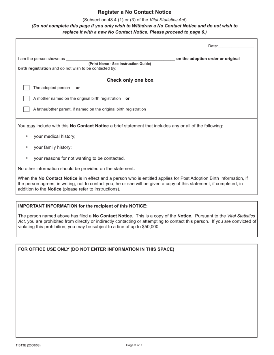
Form 11313 Adoption Information Disclosure Application to Register or Withdraw a No Contact Notice in Ontario, Canada is used for requesting or withdrawing a no contact notice in adoption cases.

The person who wishes to register or withdraw a no contact notice for adoption in Ontario, Canada files the Form 11313 Adoption Information Disclosure Application.

FAQ

Q: What is Form 11313?
A: Form 11313 is an Adoption Information Disclosure Application to Register or Withdraw a No Contact Notice.

Q: What is the purpose of Form 11313?
A: The purpose of Form 11313 is to either register or withdraw a No Contact Notice in relation to adoption information disclosure.

Q: What is a No Contact Notice?
A: A No Contact Notice is a legal document that limits or restricts the release of adoption information.

Q: Who can use Form 11313?
A: Form 11313 is used by individuals who are involved in an adoption and wish to register or withdraw a No Contact Notice.

ADVERTISEMENT

Download Form 11313 Adoption Information Disclosure Application to Register or Withdraw a No Contact Notice - Ontario, Canada

4.3 of 5 (30 votes)
  • Form 11313 Adoption Information Disclosure Application to Register or Withdraw a No Contact Notice - Ontario, Canada

    1

  • Form 11313 Adoption Information Disclosure Application to Register or Withdraw a No Contact Notice - Ontario, Canada, Page 2

    2

  • Form 11313 Adoption Information Disclosure Application to Register or Withdraw a No Contact Notice - Ontario, Canada, Page 3

    3

  • Form 11313 Adoption Information Disclosure Application to Register or Withdraw a No Contact Notice - Ontario, Canada, Page 4

    4

  • Form 11313 Adoption Information Disclosure Application to Register or Withdraw a No Contact Notice - Ontario, Canada, Page 5

    5

  • Form 11313 Adoption Information Disclosure Application to Register or Withdraw a No Contact Notice - Ontario, Canada, Page 6

    6

  • Form 11313 Adoption Information Disclosure Application to Register or Withdraw a No Contact Notice - Ontario, Canada, Page 7

    7

  • Form 11313 Adoption Information Disclosure Application to Register or Withdraw a No Contact Notice - Ontario, Canada, Page 1
  • Form 11313 Adoption Information Disclosure Application to Register or Withdraw a No Contact Notice - Ontario, Canada, Page 2
  • Form 11313 Adoption Information Disclosure Application to Register or Withdraw a No Contact Notice - Ontario, Canada, Page 3
  • Form 11313 Adoption Information Disclosure Application to Register or Withdraw a No Contact Notice - Ontario, Canada, Page 4
  • Form 11313 Adoption Information Disclosure Application to Register or Withdraw a No Contact Notice - Ontario, Canada, Page 5
  • Form 11313 Adoption Information Disclosure Application to Register or Withdraw a No Contact Notice - Ontario, Canada, Page 6
  • Form 11313 Adoption Information Disclosure Application to Register or Withdraw a No Contact Notice - Ontario, Canada, Page 7
Prev 1 2 3 4 5 ... 7 Next
ADVERTISEMENT