Attachment G.8.B-4 Maternity Initial Risk Evaluation - Kentucky

Attachment G.8.B-4 Maternity Initial Risk Evaluation - Kentucky

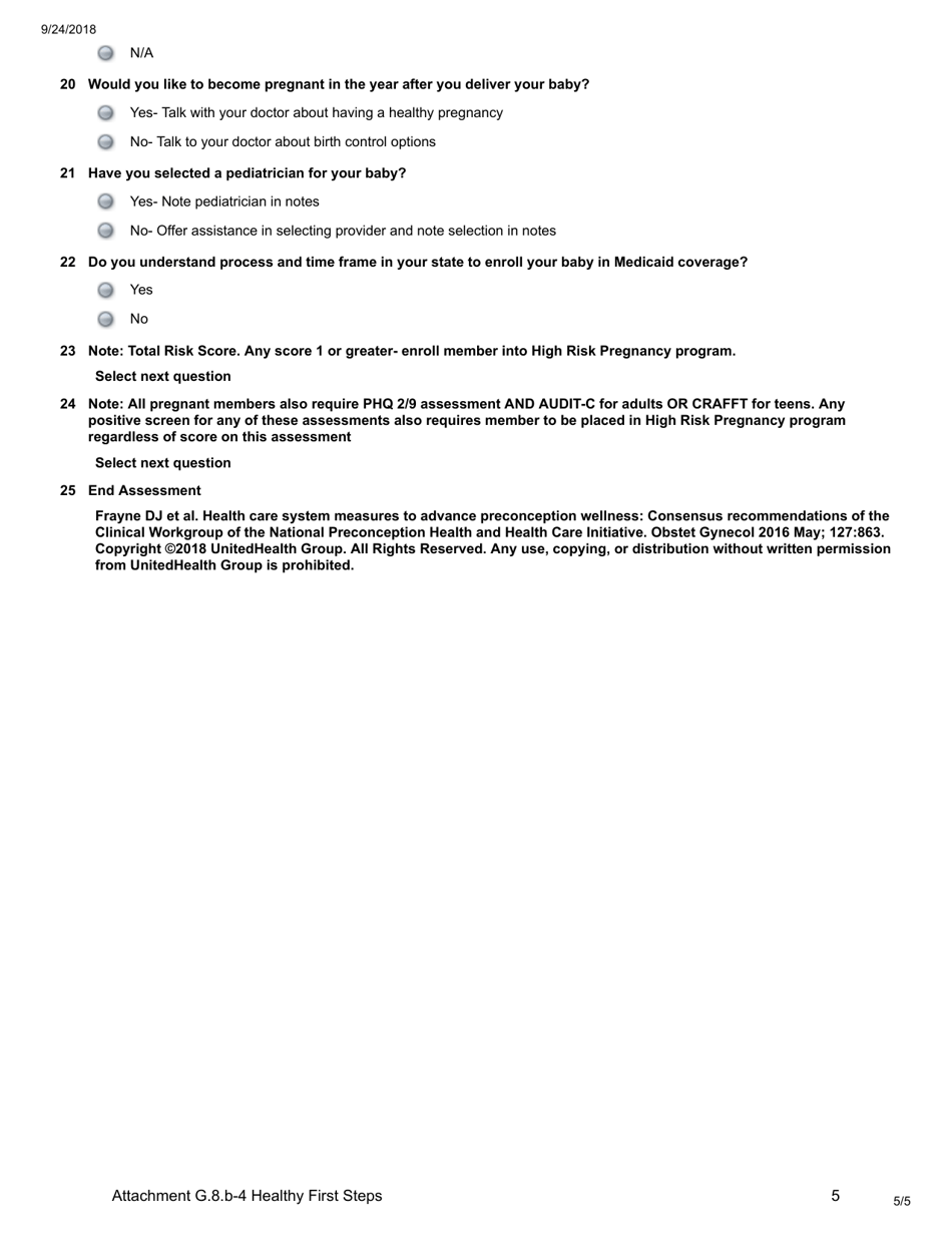
What Is Attachment G.8.B-4?

This is a legal form that was released by the Kentucky Finance and Administration Cabinet - a government authority operating within Kentucky. As of today, no separate filing guidelines for the form are provided by the issuing department.

FAQ

Q: What is the Maternity Initial Risk Evaluation in Kentucky?
A: The Maternity Initial Risk Evaluation is a process in Kentucky to assess the risk factors of pregnant women.

Q: Why is the Maternity Initial Risk Evaluation conducted?
A: The Maternity Initial Risk Evaluation is conducted to identify any potential risks to the health of the mother and baby during pregnancy.

Q: Who conducts the Maternity Initial Risk Evaluation in Kentucky?
A: The Maternity Initial Risk Evaluation is typically conducted by healthcare providers, such as doctors or midwives.

Q: When is the Maternity Initial Risk Evaluation usually done?
A: The Maternity Initial Risk Evaluation is usually done early in the pregnancy, during the first prenatal visit.

Q: What happens during the Maternity Initial Risk Evaluation?
A: During the Maternity Initial Risk Evaluation, the healthcare provider will ask the pregnant woman questions about her medical history, family history, and lifestyle.

Q: What information is gathered during the Maternity Initial Risk Evaluation?
A: The Maternity Initial Risk Evaluation gathers information about the pregnant woman's health conditions, previous pregnancy complications, and any potential risk factors in her family history.

Q: How is the information from the Maternity Initial Risk Evaluation used?
A: The information from the Maternity Initial Risk Evaluation is used to determine the appropriate prenatal care and any additional screenings or interventions that may be needed.

Q: Is the Maternity Initial Risk Evaluation mandatory in Kentucky?
A: The Maternity Initial Risk Evaluation is not mandated by law, but it is recommended for all pregnant women to ensure the best possible care for themselves and their babies.

Q: Can the Maternity Initial Risk Evaluation predict all pregnancy complications?
A: While the Maternity Initial Risk Evaluation can identify certain risk factors, it cannot predict all possible pregnancy complications. It is important for pregnant women to continue receiving regular prenatal care throughout their pregnancy.

Q: Are there any costs associated with the Maternity Initial Risk Evaluation in Kentucky?
A: The cost of the Maternity Initial Risk Evaluation may vary depending on the healthcare provider and insurance coverage. It is advisable to check with your healthcare provider or insurance company for specific cost information.

ADVERTISEMENT

Form Details:

  • Released on September 24, 2018;
  • The latest edition provided by the Kentucky Finance and Administration Cabinet;
  • Easy to use and ready to print;
  • Quick to customize;
  • Compatible with most PDF-viewing applications;
  • Fill out the form in our online filing application.

Download a printable version of Attachment G.8.B-4 by clicking the link below or browse more documents and templates provided by the Kentucky Finance and Administration Cabinet.

Download Attachment G.8.B-4 Maternity Initial Risk Evaluation - Kentucky

4.5 of 5 (29 votes)
  • Attachment G.8.B-4 Maternity Initial Risk Evaluation - Kentucky

    1

  • Attachment G.8.B-4 Maternity Initial Risk Evaluation - Kentucky, Page 2

    2

  • Attachment G.8.B-4 Maternity Initial Risk Evaluation - Kentucky, Page 3

    3

  • Attachment G.8.B-4 Maternity Initial Risk Evaluation - Kentucky, Page 4

    4

  • Attachment G.8.B-4 Maternity Initial Risk Evaluation - Kentucky, Page 5

    5

  • Attachment G.8.B-4 Maternity Initial Risk Evaluation - Kentucky, Page 1
  • Attachment G.8.B-4 Maternity Initial Risk Evaluation - Kentucky, Page 2
  • Attachment G.8.B-4 Maternity Initial Risk Evaluation - Kentucky, Page 3
  • Attachment G.8.B-4 Maternity Initial Risk Evaluation - Kentucky, Page 4
  • Attachment G.8.B-4 Maternity Initial Risk Evaluation - Kentucky, Page 5
Prev 1 2 3 4 5 Next
ADVERTISEMENT