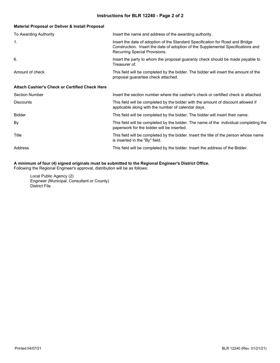
Form BLR12240 Local Public Agency Material Proposal or Deliver & Install Proposal - Illinois

Notification Icon This version of the form is not currently in use and is provided for reference only. Download this version of Form BLR12240 for the current year.

Form BLR12240 Local Public Agency Material Proposal or Deliver & Install Proposal - Illinois

What Is Form BLR12240?

This is a legal form that was released by the Illinois Department of Transportation - a government authority operating within Illinois. As of today, no separate filing guidelines for the form are provided by the issuing department.

FAQ

Q: What is a BLR12240 Local Public Agency Material Proposal?
A: BLR12240 is a form used for proposing or delivering and installing materials for local public agency projects in Illinois.

Q: What is a Deliver & Install Proposal?
A: A Deliver & Install Proposal is a proposal specifically for delivering and installing materials for a project.

Q: Who uses the BLR12240 form?
A: The BLR12240 form is used by local public agencies in Illinois.

Q: What type of projects does this form apply to?
A: This form applies to local public agency projects in Illinois.

Q: What information is required in the BLR12240 form?
A: The form requires information about the project, including materials being proposed or delivered & installed, estimated quantities, and cost information.

ADVERTISEMENT

Form Details:

  • Released on January 21, 2021;
  • The latest edition provided by the Illinois Department of Transportation;
  • Easy to use and ready to print;
  • Quick to customize;
  • Compatible with most PDF-viewing applications;
  • Fill out the form in our online filing application.

Download a fillable version of Form BLR12240 by clicking the link below or browse more documents and templates provided by the Illinois Department of Transportation.

Download Form BLR12240 Local Public Agency Material Proposal or Deliver & Install Proposal - Illinois

4.7 of 5 (14 votes)
  • Form BLR12240 Local Public Agency Material Proposal or Deliver & Install Proposal - Illinois

    1

  • Form BLR12240 Local Public Agency Material Proposal or Deliver & Install Proposal - Illinois, Page 2

    2

  • Form BLR12240 Local Public Agency Material Proposal or Deliver & Install Proposal - Illinois, Page 3

    3

  • Form BLR12240 Local Public Agency Material Proposal or Deliver & Install Proposal - Illinois, Page 4

    4

  • Form BLR12240 Local Public Agency Material Proposal or Deliver & Install Proposal - Illinois, Page 5

    5

  • Form BLR12240 Local Public Agency Material Proposal or Deliver  Install Proposal - Illinois, Page 1
  • Form BLR12240 Local Public Agency Material Proposal or Deliver  Install Proposal - Illinois, Page 2
  • Form BLR12240 Local Public Agency Material Proposal or Deliver  Install Proposal - Illinois, Page 3
  • Form BLR12240 Local Public Agency Material Proposal or Deliver  Install Proposal - Illinois, Page 4
  • Form BLR12240 Local Public Agency Material Proposal or Deliver  Install Proposal - Illinois, Page 5
Prev 1 2 3 4 5 Next
ADVERTISEMENT