Form F31 Notice of Application - British Columbia, Canada

Notification Icon This version of the form is not currently in use and is provided for reference only. Download this version of Form F31 for the current year.

Form F31 Notice of Application - British Columbia, Canada

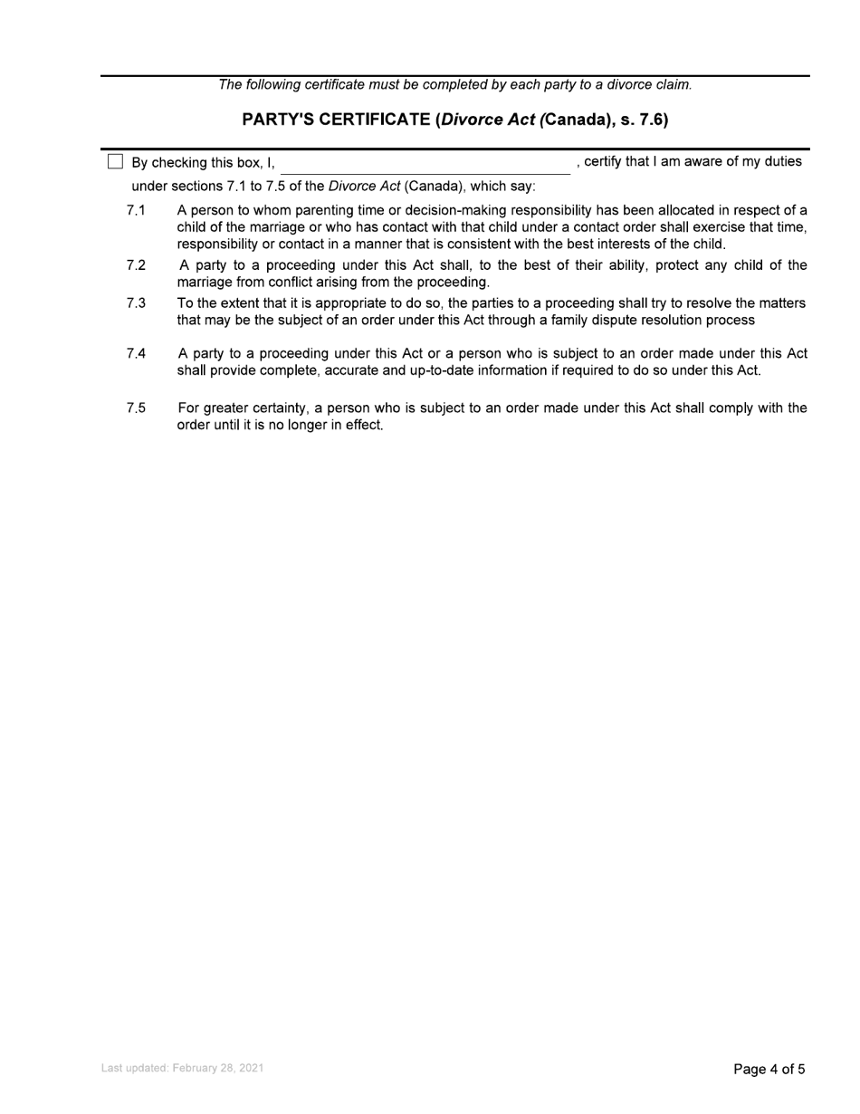
Form F31 Notice of Application is used in British Columbia, Canada as a formal notice to inform the court and other parties involved that an application is being made in a legal proceeding. It is typically used to notify the court and opposing parties about matters such as a change in child custody, access to a child, or variations to child support. The specific purpose of the application will depend on the circumstances of the case.

In British Columbia, Canada, the Form F31 Notice of Application is typically filed by the applicant or the person initiating a legal proceeding.

FAQ

Q: What is Form F31?
A: Form F31 is a Notice of Application used in British Columbia, Canada.

Q: What is the purpose of Form F31?
A: The purpose of Form F31 is to provide notice of an application that will be made to the court.

Q: Who uses Form F31?
A: Form F31 is used by individuals who are applying to the court for a specific order or relief.

Q: Do I need to file Form F31 with the court?
A: Yes, Form F31 needs to be filed with the court and served on the other party/parties to the case.

Q: What information is required in Form F31?
A: Form F31 requires information such as the names of the parties, the type of application being made, and the date and location of the hearing.

Q: Are there any filing fees for Form F31?
A: Yes, there may be filing fees associated with filing Form F31. The amount of the fees can vary.

Q: What should I do if I have questions about Form F31?
A: If you have questions about Form F31, it is recommended to consult with a lawyer or seek legal advice from a professional.

ADVERTISEMENT

Download Form F31 Notice of Application - British Columbia, Canada

4.6 of 5 (7 votes)
  • Form F31 Notice of Application - British Columbia, Canada

    1

  • Form F31 Notice of Application - British Columbia, Canada, Page 2

    2

  • Form F31 Notice of Application - British Columbia, Canada, Page 3

    3

  • Form F31 Notice of Application - British Columbia, Canada, Page 4

    4

  • Form F31 Notice of Application - British Columbia, Canada, Page 5

    5

  • Form F31 Notice of Application - British Columbia, Canada, Page 1
  • Form F31 Notice of Application - British Columbia, Canada, Page 2
  • Form F31 Notice of Application - British Columbia, Canada, Page 3
  • Form F31 Notice of Application - British Columbia, Canada, Page 4
  • Form F31 Notice of Application - British Columbia, Canada, Page 5
Prev 1 2 3 4 5 Next
ADVERTISEMENT