Annual Renewal Report - Retirement Subdivision or Community - Nebraska

Annual Renewal Report - Retirement Subdivision or Community - Nebraska

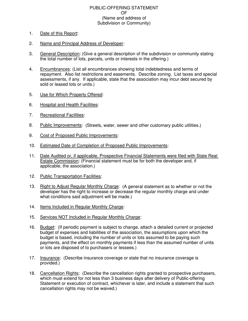
Annual Renewal Report - Retirement Subdivision or Community is a legal document that was released by the Nebraska Real Estate Commission - a government authority operating within Nebraska.

FAQ

Q: What is an annual renewal report?
A: An annual renewal report is a document that needs to be filed each year by retirement subdivisions or communities in Nebraska.

Q: What is a retirement subdivision or community?
A: A retirement subdivision or community is a housing development specifically designed for older adults who are 55 or older.

Q: Who needs to file an annual renewal report for a retirement subdivision or community in Nebraska?
A: Owners or operators of retirement subdivisions or communities in Nebraska need to file an annual renewal report.

Q: Why is an annual renewal report required?
A: An annual renewal report is required to ensure that retirement subdivisions or communities are meeting the state's requirements and are providing a safe and suitable living environment for residents.

Q: What information is included in an annual renewal report?
A: An annual renewal report includes information about the ownership of the retirement subdivision or community, the number of residents, any changes to the facility, and any complaints or violations that have occurred in the past year.

Q: When is the deadline for filing an annual renewal report?
A: The deadline for filing an annual renewal report for retirement subdivisions or communities in Nebraska is typically on or before a specific date each year, which can vary.

Q: What are the consequences of not filing an annual renewal report?
A: Failure to file an annual renewal report can result in penalties and possible legal action.

Q: Who can I contact for more information about the annual renewal report?
A: For more information about the annual renewal report for retirement subdivisions or communities in Nebraska, you can contact the Nebraska Department of Health and Human Services or the local government agency responsible for regulating retirement subdivisions or communities.

ADVERTISEMENT

Form Details:

  • The latest edition currently provided by the Nebraska Real Estate Commission;
  • Ready to use and print;
  • Easy to customize;
  • Compatible with most PDF-viewing applications;
  • Fill out the form in our online filing application.

Download a printable version of the form by clicking the link below or browse more documents and templates provided by the Nebraska Real Estate Commission.

Download Annual Renewal Report - Retirement Subdivision or Community - Nebraska

4.7 of 5 (7 votes)
  • Annual Renewal Report - Retirement Subdivision or Community - Nebraska

    1

  • Annual Renewal Report - Retirement Subdivision or Community - Nebraska, Page 2

    2

  • Annual Renewal Report - Retirement Subdivision or Community - Nebraska, Page 3

    3

  • Annual Renewal Report - Retirement Subdivision or Community - Nebraska, Page 4

    4

  • Annual Renewal Report - Retirement Subdivision or Community - Nebraska, Page 5

    5

  • Annual Renewal Report - Retirement Subdivision or Community - Nebraska, Page 1
  • Annual Renewal Report - Retirement Subdivision or Community - Nebraska, Page 2
  • Annual Renewal Report - Retirement Subdivision or Community - Nebraska, Page 3
  • Annual Renewal Report - Retirement Subdivision or Community - Nebraska, Page 4
  • Annual Renewal Report - Retirement Subdivision or Community - Nebraska, Page 5
Prev 1 2 3 4 5 Next
ADVERTISEMENT

Related Documents