NDE Form 08-030 Assurance Statement for Accredited School Systems - Nebraska

Notification Icon This version of the form is not currently in use and is provided for reference only. Download this version of NDE Form 08-030 for the current year.

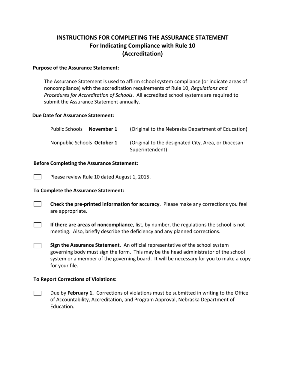
NDE Form 08-030 Assurance Statement for Accredited School Systems - Nebraska

What Is NDE Form 08-030?

This is a legal form that was released by the Nebraska Department of Education - a government authority operating within Nebraska. As of today, no separate filing guidelines for the form are provided by the issuing department.

FAQ

Q: What is NDE Form 08-030?
A: NDE Form 08-030 is an Assurance Statement for Accredited School Systems in Nebraska.

Q: What is the purpose of NDE Form 08-030?
A: The purpose of NDE Form 08-030 is to provide an assurance of compliance to the Nebraska Department of Education for accredited school systems.

Q: Who needs to fill out NDE Form 08-030?
A: Accredited school systems in Nebraska need to fill out NDE Form 08-030.

Q: What does NDE stand for?
A: NDE stands for Nebraska Department of Education.

Q: What information is required on NDE Form 08-030?
A: NDE Form 08-030 requires information about the school system, including its name, contact information, and confirmation of compliance with specific standards.

Q: How often does NDE Form 08-030 need to be filled out?
A: NDE Form 08-030 needs to be filled out annually by accredited school systems in Nebraska.

ADVERTISEMENT

Form Details:

  • The latest edition provided by the Nebraska Department of Education;
  • Easy to use and ready to print;
  • Quick to customize;
  • Compatible with most PDF-viewing applications;
  • Fill out the form in our online filing application.

Download a printable version of NDE Form 08-030 by clicking the link below or browse more documents and templates provided by the Nebraska Department of Education.

Download NDE Form 08-030 Assurance Statement for Accredited School Systems - Nebraska

4.3 of 5 (11 votes)
  • NDE Form 08-030 Assurance Statement for Accredited School Systems - Nebraska

    1

  • NDE Form 08-030 Assurance Statement for Accredited School Systems - Nebraska, Page 2

    2

  • NDE Form 08-030 Assurance Statement for Accredited School Systems - Nebraska, Page 1
  • NDE Form 08-030 Assurance Statement for Accredited School Systems - Nebraska, Page 2
Prev 1 2 Next
ADVERTISEMENT

Related Documents