Form MAD299 Disability Determination Unit Referral - New Mexico

Form MAD299 Disability Determination Unit Referral - New Mexico

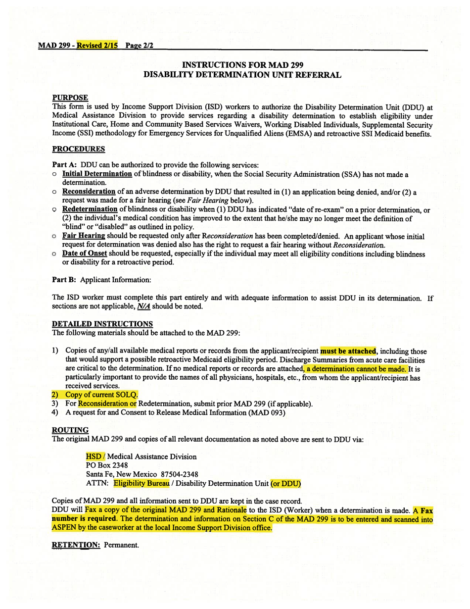
What Is Form MAD299?

This is a legal form that was released by the New Mexico Human Services Department - a government authority operating within New Mexico. As of today, no separate filing guidelines for the form are provided by the issuing department.

FAQ

Q: What is MAD299 Disability Determination Unit Referral?
A: MAD299 Disability Determination Unit Referral is a form used in New Mexico to refer individuals for disability determination.

Q: Who uses the MAD299 Disability Determination Unit Referral?
A: The MAD299 Disability Determination Unit Referral is used by healthcare providers and other professionals in New Mexico.

Q: What is the purpose of the MAD299 Disability Determination Unit Referral?
A: The purpose of the MAD299 Disability Determination Unit Referral is to refer individuals for disability determination by the state's Disability Determination Unit.

Q: Why is disability determination important?
A: Disability determination is important for individuals who may be eligible for various disability benefits and support services.

Q: How does the MAD299 Disability Determination Unit Referral process work?
A: After the completion of the MAD299 form, it is submitted to the state's Disability Determination Unit, which will evaluate the individual's disability claim.

ADVERTISEMENT

Form Details:

  • Released on February 1, 2015;
  • The latest edition provided by the New Mexico Human Services Department;
  • Easy to use and ready to print;
  • Quick to customize;
  • Compatible with most PDF-viewing applications;
  • Fill out the form in our online filing application.

Download a printable version of Form MAD299 by clicking the link below or browse more documents and templates provided by the New Mexico Human Services Department.

Download Form MAD299 Disability Determination Unit Referral - New Mexico

4.4 of 5 (21 votes)
  • Form MAD299 Disability Determination Unit Referral - New Mexico

    1

  • Form MAD299 Disability Determination Unit Referral - New Mexico, Page 2

    2

  • Form MAD299 Disability Determination Unit Referral - New Mexico, Page 3

    3

  • Form MAD299 Disability Determination Unit Referral - New Mexico, Page 1
  • Form MAD299 Disability Determination Unit Referral - New Mexico, Page 2
  • Form MAD299 Disability Determination Unit Referral - New Mexico, Page 3
Prev 1 2 3 Next
ADVERTISEMENT