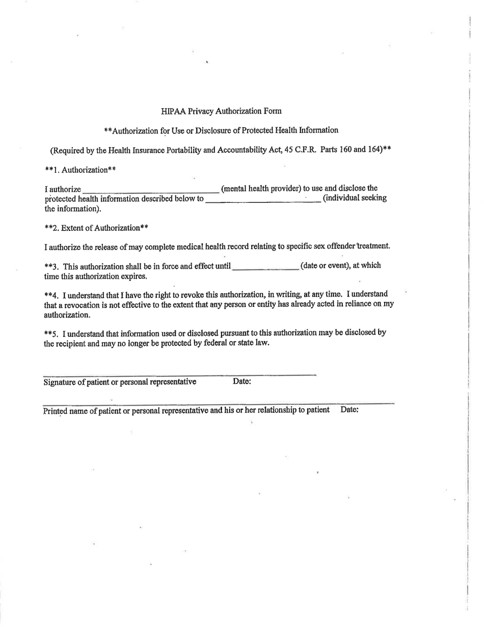
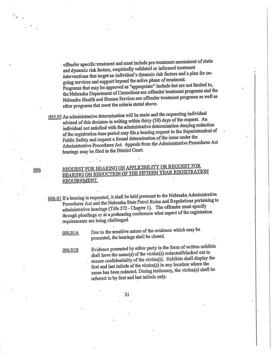
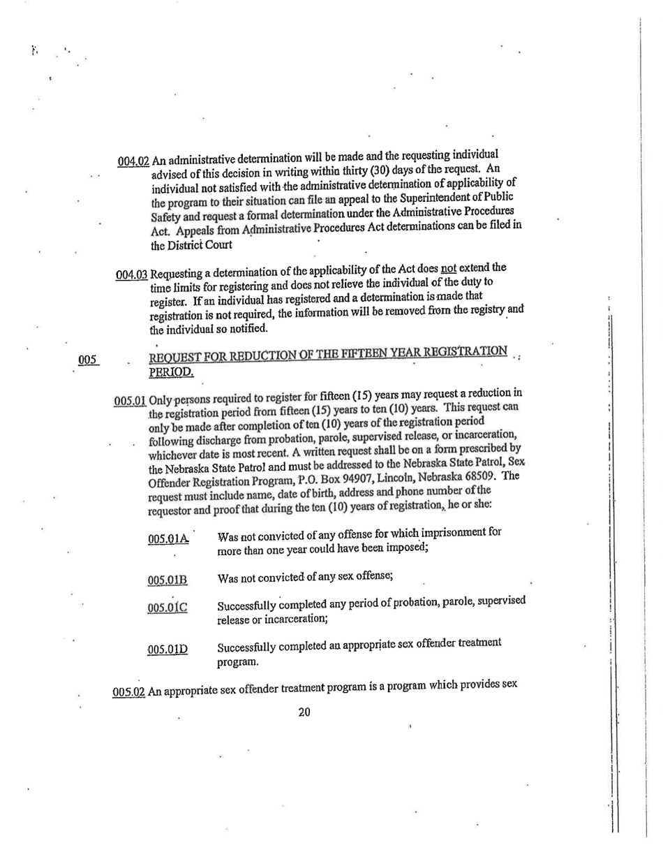
Form NSP798 Sex Offender Form Request for Reduction Registration Period - Nebraska

Form NSP798 Sex Offender Form Request for Reduction Registration Period - Nebraska

What Is Form NSP798?

This is a legal form that was released by the Nebraska State Patrol - a government authority operating within Nebraska. As of today, no separate filing guidelines for the form are provided by the issuing department.

FAQ

Q: What is Form NSP798?
A: Form NSP798 is a request form for reduction of registration period for sex offenders in Nebraska.

Q: Who can use Form NSP798?
A: Form NSP798 can be used by sex offenders in Nebraska who wish to request a reduction in their registration period.

Q: What is the purpose of Form NSP798?
A: The purpose of Form NSP798 is to allow sex offenders to request a reduction in their registration period based on certain eligibility criteria.

Q: What information is required on Form NSP798?
A: Form NSP798 requires personal information, details of the conviction, and reasons for requesting a reduction in the registration period.

Q: What happens after submitting Form NSP798?
A: After submitting Form NSP798, the Nebraska State Patrol will review the request and make a determination on whether to grant or deny the reduction in the registration period.

ADVERTISEMENT

Form Details:

  • Released on April 1, 2011;
  • The latest edition provided by the Nebraska State Patrol;
  • Easy to use and ready to print;
  • Quick to customize;
  • Compatible with most PDF-viewing applications;
  • Fill out the form in our online filing application.

Download a printable version of Form NSP798 by clicking the link below or browse more documents and templates provided by the Nebraska State Patrol.

Download Form NSP798 Sex Offender Form Request for Reduction Registration Period - Nebraska

4.5 of 5 (23 votes)
  • Form NSP798 Sex Offender Form Request for Reduction Registration Period - Nebraska

    1

  • Form NSP798 Sex Offender Form Request for Reduction Registration Period - Nebraska, Page 2

    2

  • Form NSP798 Sex Offender Form Request for Reduction Registration Period - Nebraska, Page 3

    3

  • Form NSP798 Sex Offender Form Request for Reduction Registration Period - Nebraska, Page 4

    4

  • Form NSP798 Sex Offender Form Request for Reduction Registration Period - Nebraska, Page 1
  • Form NSP798 Sex Offender Form Request for Reduction Registration Period - Nebraska, Page 2
  • Form NSP798 Sex Offender Form Request for Reduction Registration Period - Nebraska, Page 3
  • Form NSP798 Sex Offender Form Request for Reduction Registration Period - Nebraska, Page 4
Prev 1 2 3 4 Next
ADVERTISEMENT