Form 2 (State Form 46781) Personal Disclosure Form - Indiana

Notification Icon This version of the form is not currently in use and is provided for reference only. Download this version of Form 2 (State Form 46781) for the current year.

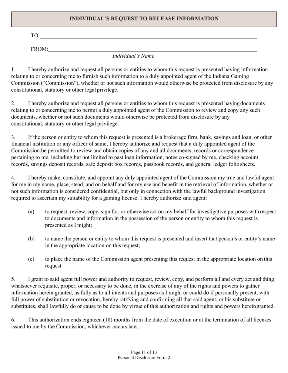
Form 2 (State Form 46781) Personal Disclosure Form - Indiana

What Is Form 2 (State Form 46781)?

This is a legal form that was released by the Indiana Gaming Commission - a government authority operating within Indiana. As of today, no separate filing guidelines for the form are provided by the issuing department.

FAQ

Q: What is Form 2?
A: Form 2 is the Personal Disclosure Form, also known as State Form 46781.

Q: Who needs to fill out Form 2?
A: Individuals in Indiana who are required to disclose personal information.

Q: Why do I need to fill out Form 2?
A: Form 2 is used to gather personal information for disclosure purposes.

Q: What information do I need to provide on Form 2?
A: You will need to provide personal information such as your name, address, and social security number.

Q: Is Form 2 confidential?
A: Form 2 may be subject to public disclosure, so it is important to be aware of what information you are providing.

Q: What happens if I don't fill out Form 2?
A: Failure to complete Form 2 when required may result in penalties or consequences determined by the Indiana government.

Q: Is there a deadline for submitting Form 2?
A: The deadline for submitting Form 2 depends on the specific requirements and instructions provided by the Indiana government.

Q: Are there any fees associated with Form 2?
A: There may be fees associated with filing Form 2 as indicated by the Indiana government agency. It is important to review the instructions and requirements carefully.

ADVERTISEMENT

Form Details:

  • Released on April 1, 2021;
  • The latest edition provided by the Indiana Gaming Commission;
  • Easy to use and ready to print;
  • Quick to customize;
  • Compatible with most PDF-viewing applications;
  • Fill out the form in our online filing application.

Download a fillable version of Form 2 (State Form 46781) by clicking the link below or browse more documents and templates provided by the Indiana Gaming Commission.

Download Form 2 (State Form 46781) Personal Disclosure Form - Indiana

4.8 of 5 (19 votes)
  • Form 2 (State Form 46781) Personal Disclosure Form - Indiana

    1

  • Form 2 (State Form 46781) Personal Disclosure Form - Indiana, Page 2

    2

  • Form 2 (State Form 46781) Personal Disclosure Form - Indiana, Page 3

    3

  • Form 2 (State Form 46781) Personal Disclosure Form - Indiana, Page 4

    4

  • Form 2 (State Form 46781) Personal Disclosure Form - Indiana, Page 5

    5

  • Form 2 (State Form 46781) Personal Disclosure Form - Indiana, Page 6

    6

  • Form 2 (State Form 46781) Personal Disclosure Form - Indiana, Page 7

    7

  • Form 2 (State Form 46781) Personal Disclosure Form - Indiana, Page 8

    8

  • Form 2 (State Form 46781) Personal Disclosure Form - Indiana, Page 9

    9

  • Form 2 (State Form 46781) Personal Disclosure Form - Indiana, Page 10

    10

  • Form 2 (State Form 46781) Personal Disclosure Form - Indiana, Page 11

    11

  • Form 2 (State Form 46781) Personal Disclosure Form - Indiana, Page 12

    12

  • Form 2 (State Form 46781) Personal Disclosure Form - Indiana, Page 13

    13

  • Form 2 (State Form 46781) Personal Disclosure Form - Indiana, Page 1
  • Form 2 (State Form 46781) Personal Disclosure Form - Indiana, Page 2
  • Form 2 (State Form 46781) Personal Disclosure Form - Indiana, Page 3
  • Form 2 (State Form 46781) Personal Disclosure Form - Indiana, Page 4
  • Form 2 (State Form 46781) Personal Disclosure Form - Indiana, Page 5
  • Form 2 (State Form 46781) Personal Disclosure Form - Indiana, Page 6
  • Form 2 (State Form 46781) Personal Disclosure Form - Indiana, Page 7
  • Form 2 (State Form 46781) Personal Disclosure Form - Indiana, Page 8
  • Form 2 (State Form 46781) Personal Disclosure Form - Indiana, Page 9
  • Form 2 (State Form 46781) Personal Disclosure Form - Indiana, Page 10
  • Form 2 (State Form 46781) Personal Disclosure Form - Indiana, Page 11
  • Form 2 (State Form 46781) Personal Disclosure Form - Indiana, Page 12
  • Form 2 (State Form 46781) Personal Disclosure Form - Indiana, Page 13
Prev 1 2 3 4 5 ... 13 Next
ADVERTISEMENT