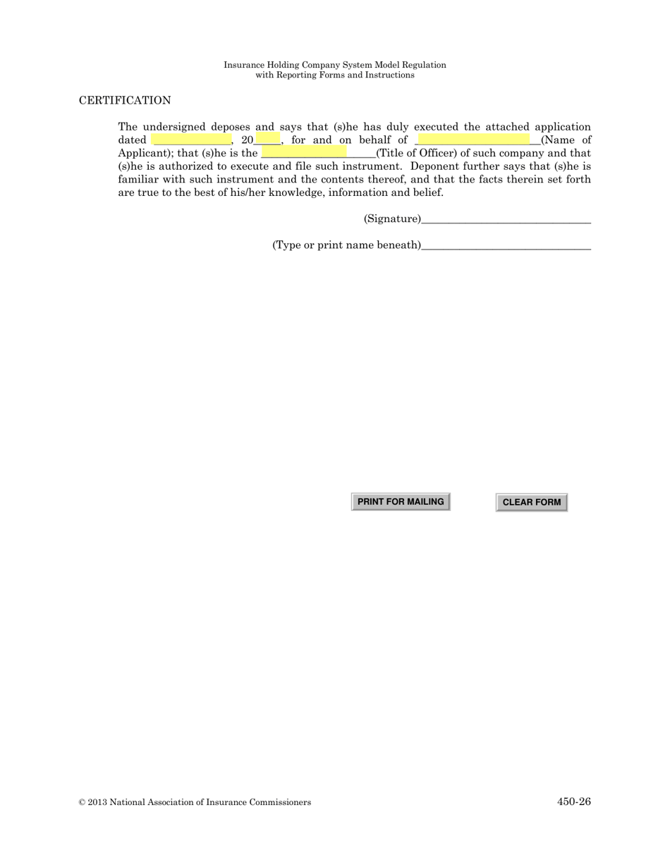
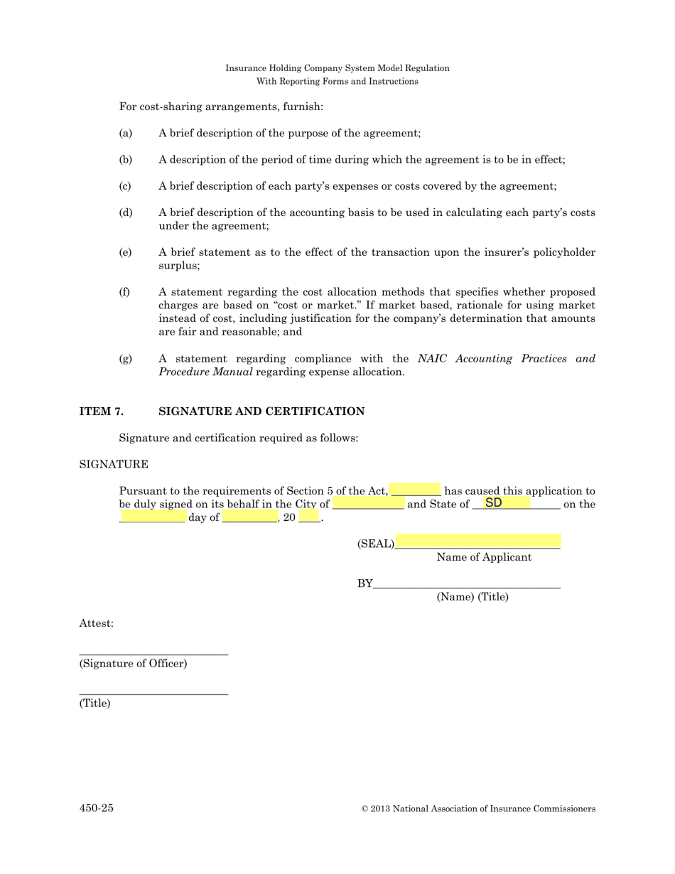
Form D (SD Form 2004) Prior Notice of a Transaction - South Dakota

Form D (SD Form 2004) Prior Notice of a Transaction - South Dakota

What Is Form D (SD Form 2004)?

This is a legal form that was released by the South Dakota Department of Labor & Regulation - a government authority operating within South Dakota. As of today, no separate filing guidelines for the form are provided by the issuing department.

FAQ

Q: What is Form D (SD Form 2004)?
A: Form D (SD Form 2004) is a prior notice of a transaction form used in South Dakota.

Q: What is the purpose of Form D (SD Form 2004)?
A: The purpose of Form D (SD Form 2004) is to provide prior notice of a transaction in South Dakota.

Q: Who needs to file Form D (SD Form 2004)?
A: Anyone involved in a transaction in South Dakota may need to file Form D (SD Form 2004).

Q: Are there any fees associated with filing Form D (SD Form 2004)?
A: Yes, there is a filing fee associated with filing Form D (SD Form 2004). The fee amount may vary.

Q: When should Form D (SD Form 2004) be filed?
A: Form D (SD Form 2004) should be filed at least 30 days prior to the transaction for which prior notice is required.

Q: What information is required on Form D (SD Form 2004)?
A: Form D (SD Form 2004) requires information such as the identities of the parties involved, a description of the transaction, and any necessary supporting documentation.

Q: What are the consequences of failing to file Form D (SD Form 2004)?
A: Failing to file Form D (SD Form 2004) may result in penalties, fines, or other legal consequences.

ADVERTISEMENT

Form Details:

  • The latest edition provided by the South Dakota Department of Labor & Regulation;
  • Easy to use and ready to print;
  • Quick to customize;
  • Compatible with most PDF-viewing applications;
  • Fill out the form in our online filing application.

Download a fillable version of Form D (SD Form 2004) by clicking the link below or browse more documents and templates provided by the South Dakota Department of Labor & Regulation.

Download Form D (SD Form 2004) Prior Notice of a Transaction - South Dakota

4.4 of 5 (24 votes)
  • Form D (SD Form 2004) Prior Notice of a Transaction - South Dakota

    1

  • Form D (SD Form 2004) Prior Notice of a Transaction - South Dakota, Page 2

    2

  • Form D (SD Form 2004) Prior Notice of a Transaction - South Dakota, Page 3

    3

  • Form D (SD Form 2004) Prior Notice of a Transaction - South Dakota, Page 4

    4

  • Form D (SD Form 2004) Prior Notice of a Transaction - South Dakota, Page 5

    5

  • Form D (SD Form 2004) Prior Notice of a Transaction - South Dakota, Page 1
  • Form D (SD Form 2004) Prior Notice of a Transaction - South Dakota, Page 2
  • Form D (SD Form 2004) Prior Notice of a Transaction - South Dakota, Page 3
  • Form D (SD Form 2004) Prior Notice of a Transaction - South Dakota, Page 4
  • Form D (SD Form 2004) Prior Notice of a Transaction - South Dakota, Page 5
Prev 1 2 3 4 5 Next
ADVERTISEMENT