State Form 50399 Application for Septage Management Business Permit - Indiana

Notification Icon This version of the form is not currently in use and is provided for reference only. Download this version of State Form 50399 for the current year.

State Form 50399 Application for Septage Management Business Permit - Indiana

What Is State Form 50399?

This is a legal form that was released by the Indiana Department of Environmental Management - a government authority operating within Indiana. As of today, no separate filing guidelines for the form are provided by the issuing department.

FAQ

Q: What is State Form 50399?
A: State Form 50399 is an application for a Septage Management Business Permit in Indiana.

Q: Who needs to fill out State Form 50399?
A: Septage management businesses operating in Indiana need to fill out State Form 50399.

Q: What is a septage management business?
A: A septage management business is a business that collects, transports, stores, treats, or disposes of septage, which is the contents of a septic tank.

Q: What information is required on State Form 50399?
A: State Form 50399 requires information such as the business name, contact information, description of services, and details about the storage and treatment facilities.

Q: Are there any fees associated with State Form 50399?
A: Yes, there are fees associated with State Form 50399. The amount varies based on the type of permit and the services provided by the business.

Q: Are there any other permits required for septage management businesses in Indiana?
A: Yes, in addition to the Septage Management Business Permit, septage management businesses in Indiana may also need other permits or registrations depending on the specific activities they engage in.

Q: How long does it take to process State Form 50399?
A: The processing time for State Form 50399 can vary, but it typically takes several weeks.

ADVERTISEMENT

Form Details:

  • Released on November 1, 2020;
  • The latest edition provided by the Indiana Department of Environmental Management;
  • Easy to use and ready to print;
  • Quick to customize;
  • Compatible with most PDF-viewing applications;
  • Fill out the form in our online filing application.

Download a fillable version of State Form 50399 by clicking the link below or browse more documents and templates provided by the Indiana Department of Environmental Management.

Download State Form 50399 Application for Septage Management Business Permit - Indiana

4.5 of 5 (19 votes)
  • State Form 50399 Application for Septage Management Business Permit - Indiana

    1

  • State Form 50399 Application for Septage Management Business Permit - Indiana, Page 2

    2

  • State Form 50399 Application for Septage Management Business Permit - Indiana, Page 3

    3

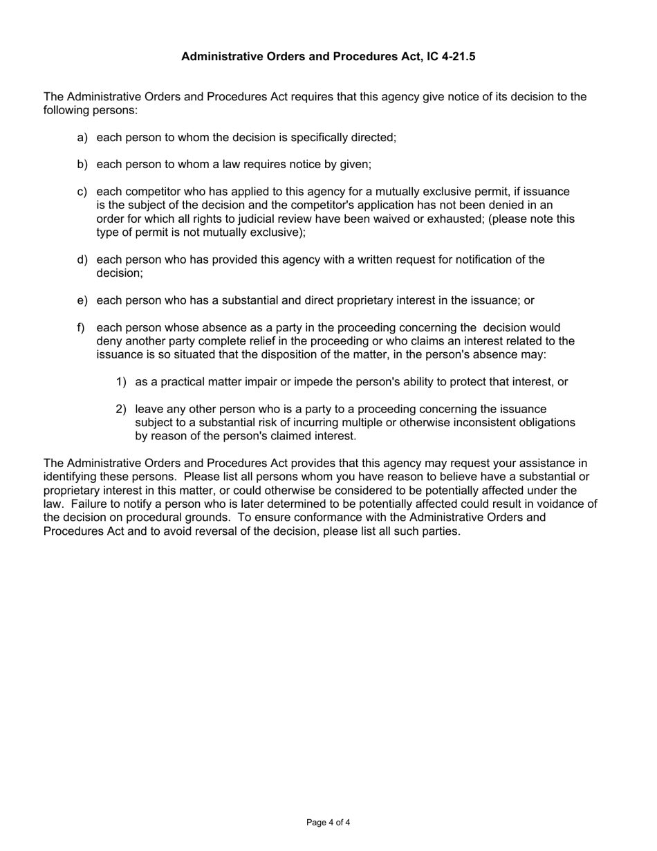
  • State Form 50399 Application for Septage Management Business Permit - Indiana, Page 4

    4

  • State Form 50399 Application for Septage Management Business Permit - Indiana, Page 1
  • State Form 50399 Application for Septage Management Business Permit - Indiana, Page 2
  • State Form 50399 Application for Septage Management Business Permit - Indiana, Page 3
  • State Form 50399 Application for Septage Management Business Permit - Indiana, Page 4
Prev 1 2 3 4 Next
ADVERTISEMENT

Related Documents