Form BMV3722 Affidavit for Titling Mini-Truck, Utility Vehicle, and Under-Speed Vehicle - Ohio

Notification Icon This version of the form is not currently in use and is provided for reference only. Download this version of Form BMV3722 for the current year.

Form BMV3722 Affidavit for Titling Mini-Truck, Utility Vehicle, and Under-Speed Vehicle - Ohio

What Is Form BMV3722?

This is a legal form that was released by the Ohio Department of Public Safety - a government authority operating within Ohio. As of today, no separate filing guidelines for the form are provided by the issuing department.

FAQ

Q: What is the BMV3722 Affidavit for Titling Mini-Truck, Utility Vehicle, and Under-Speed Vehicle?
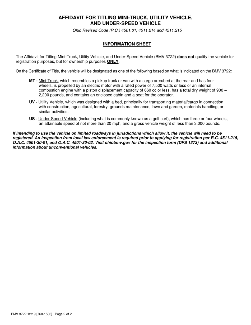
A: The BMV3722 Affidavit for Titling Mini-Truck, Utility Vehicle, and Under-Speed Vehicle is a form used in Ohio for titling certain types of vehicles.

Q: What types of vehicles require the BMV3722 Affidavit?
A: Mini-Trucks, Utility Vehicles, and Under-Speed Vehicles require the BMV3722 Affidavit for titling in Ohio.

Q: What information is required on the BMV3722 Affidavit?
A: The BMV3722 Affidavit requires information about the vehicle, the applicant's personal details, and a notarized signature.

Q: Can I use the BMV3722 Affidavit to title other types of vehicles?
A: No, the BMV3722 Affidavit is specifically for Mini-Trucks, Utility Vehicles, and Under-Speed Vehicles in Ohio.

Q: Are there any fees associated with using the BMV3722 Affidavit?
A: Yes, there may be fees associated with titling and registering the vehicle, in addition to any applicable taxes.

Q: Do I need to have insurance for the vehicle before titling with the BMV3722 Affidavit?
A: Yes, you will need to have proof of insurance before titling the vehicle using the BMV3722 Affidavit.

Q: What should I do if I have more questions about the BMV3722 Affidavit?
A: If you have more questions, you should contact your local Ohio Bureau of Motor Vehicles (BMV) office for assistance.

ADVERTISEMENT

Form Details:

  • Released on December 1, 2019;
  • The latest edition provided by the Ohio Department of Public Safety;
  • Easy to use and ready to print;
  • Quick to customize;
  • Compatible with most PDF-viewing applications;
  • Fill out the form in our online filing application.

Download a printable version of Form BMV3722 by clicking the link below or browse more documents and templates provided by the Ohio Department of Public Safety.

Download Form BMV3722 Affidavit for Titling Mini-Truck, Utility Vehicle, and Under-Speed Vehicle - Ohio

4.6 of 5 (17 votes)
  • Form BMV3722 Affidavit for Titling Mini-Truck, Utility Vehicle, and Under-Speed Vehicle - Ohio

    1

  • Form BMV3722 Affidavit for Titling Mini-Truck, Utility Vehicle, and Under-Speed Vehicle - Ohio, Page 2

    2

  • Form BMV3722 Affidavit for Titling Mini-Truck, Utility Vehicle, and Under-Speed Vehicle - Ohio, Page 1
  • Form BMV3722 Affidavit for Titling Mini-Truck, Utility Vehicle, and Under-Speed Vehicle - Ohio, Page 2
Prev 1 2 Next
ADVERTISEMENT