Application and Agreement for Deposit of Public Funds - Ohio

Notification Icon This version of the form is not currently in use and is provided for reference only. Download this version of the document for the current year.

Application and Agreement for Deposit of Public Funds - Ohio

Application and Agreement for Deposit of Public Funds is a legal document that was released by the Office of the Ohio Treasurer - a government authority operating within Ohio.

FAQ

Q: What is the Application and Agreement for Deposit of Public Funds?
A: The Application and Agreement for Deposit of Public Funds is a document used in Ohio to apply for the deposit of public funds in a financial institution.

Q: Who can use this document?
A: This document is used by governmental entities and other entities authorized to hold public funds in Ohio.

Q: What is the purpose of this document?
A: The purpose of this document is to establish the terms and conditions under which a financial institution will hold and manage the public funds.

Q: What information is required in the application?
A: The application requires information about the entity applying for the deposit, the type of account requested, and the proposed depository institution.

Q: Are there any specific requirements for the depository institution?
A: Yes, the depository institution must meet certain requirements set by the Ohio Treasurer of State's office.

Q: Can multiple financial institutions be selected for the deposit?
A: Yes, multiple financial institutions can be selected, subject to certain conditions.

Q: What happens after the application is submitted?
A: After the application is submitted, it will be reviewed by the Ohio Treasurer of State's office, and a decision will be made regarding the deposit of public funds.

Q: Can the agreement be terminated?
A: Yes, either party may terminate the agreement with written notice to the other party.

Q: Is there any ongoing reporting or monitoring required?
A: Yes, the entity holding the public funds is required to provide periodic reports and allow for monitoring by the Ohio Treasurer of State's office.

ADVERTISEMENT

Form Details:

  • The latest edition currently provided by the Office of the Ohio Treasurer;
  • Ready to use and print;
  • Easy to customize;
  • Compatible with most PDF-viewing applications;
  • Fill out the form in our online filing application.

Download a fillable version of the form by clicking the link below or browse more documents and templates provided by the Office of the Ohio Treasurer.

Download Application and Agreement for Deposit of Public Funds - Ohio

4.6 of 5 (18 votes)
  • Application and Agreement for Deposit of Public Funds - Ohio

    1

  • Application and Agreement for Deposit of Public Funds - Ohio, Page 2

    2

  • Application and Agreement for Deposit of Public Funds - Ohio, Page 3

    3

  • Application and Agreement for Deposit of Public Funds - Ohio, Page 4

    4

  • Application and Agreement for Deposit of Public Funds - Ohio, Page 5

    5

  • Application and Agreement for Deposit of Public Funds - Ohio, Page 6

    6

  • Application and Agreement for Deposit of Public Funds - Ohio, Page 7

    7

  • Application and Agreement for Deposit of Public Funds - Ohio, Page 8

    8

  • Application and Agreement for Deposit of Public Funds - Ohio, Page 9

    9

  • Application and Agreement for Deposit of Public Funds - Ohio, Page 10

    10

  • Application and Agreement for Deposit of Public Funds - Ohio, Page 11

    11

  • Application and Agreement for Deposit of Public Funds - Ohio, Page 12

    12

  • Application and Agreement for Deposit of Public Funds - Ohio, Page 13

    13

  • Application and Agreement for Deposit of Public Funds - Ohio, Page 14

    14

  • Application and Agreement for Deposit of Public Funds - Ohio, Page 15

    15

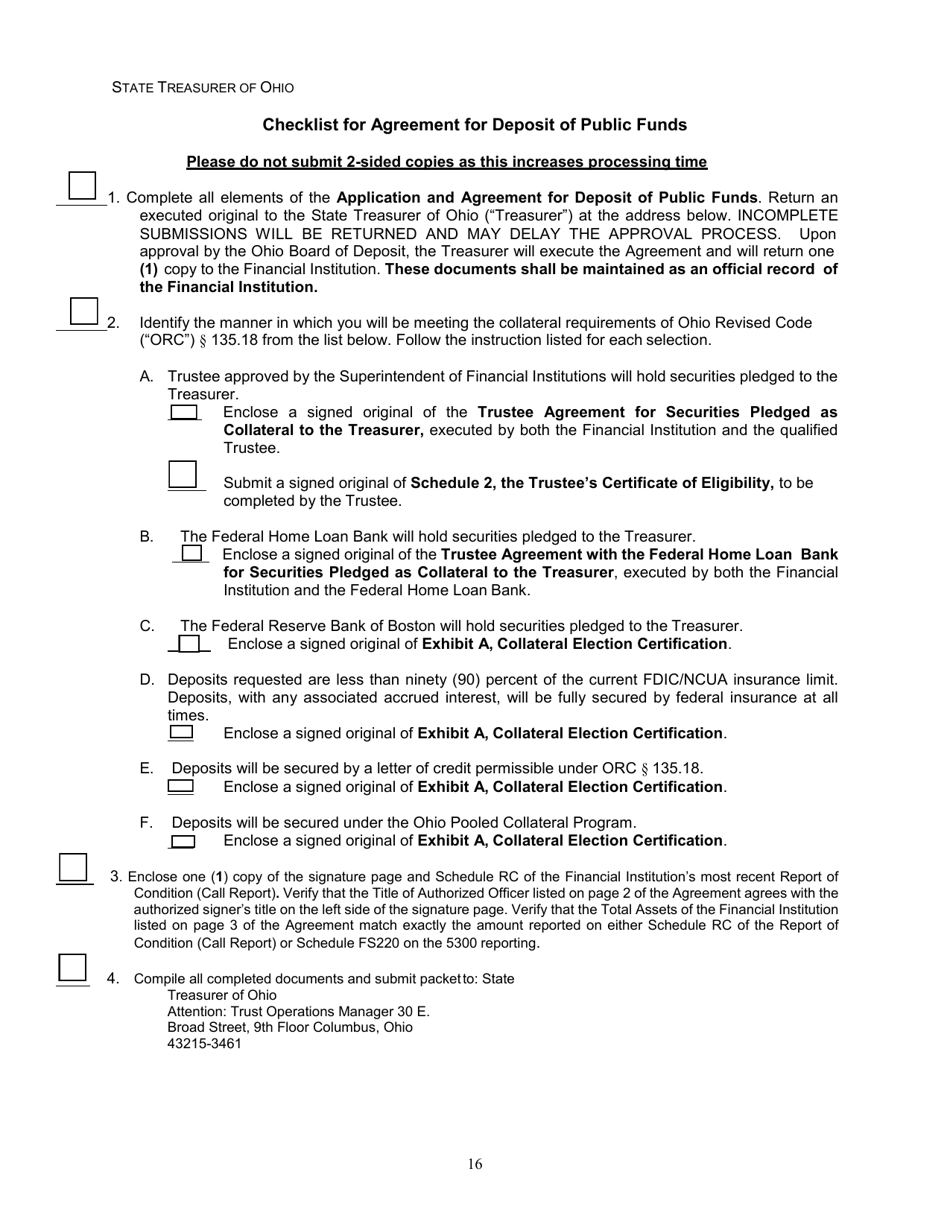
  • Application and Agreement for Deposit of Public Funds - Ohio, Page 16

    16

  • Application and Agreement for Deposit of Public Funds - Ohio, Page 1
  • Application and Agreement for Deposit of Public Funds - Ohio, Page 2
  • Application and Agreement for Deposit of Public Funds - Ohio, Page 3
  • Application and Agreement for Deposit of Public Funds - Ohio, Page 4
  • Application and Agreement for Deposit of Public Funds - Ohio, Page 5
  • Application and Agreement for Deposit of Public Funds - Ohio, Page 6
  • Application and Agreement for Deposit of Public Funds - Ohio, Page 7
  • Application and Agreement for Deposit of Public Funds - Ohio, Page 8
  • Application and Agreement for Deposit of Public Funds - Ohio, Page 9
  • Application and Agreement for Deposit of Public Funds - Ohio, Page 10
  • Application and Agreement for Deposit of Public Funds - Ohio, Page 11
  • Application and Agreement for Deposit of Public Funds - Ohio, Page 12
  • Application and Agreement for Deposit of Public Funds - Ohio, Page 13
  • Application and Agreement for Deposit of Public Funds - Ohio, Page 14
  • Application and Agreement for Deposit of Public Funds - Ohio, Page 15
  • Application and Agreement for Deposit of Public Funds - Ohio, Page 16
Prev 1 2 3 4 5 ... 16 Next
ADVERTISEMENT

Related Documents