Application for Loan Group Home for Recovering Substance Abusers - Nebraska

Application for Loan Group Home for Recovering Substance Abusers - Nebraska

Application for Loan Group Home for Recovering Substance Abusers is a legal document that was released by the Nebraska Department of Health and Human Services - a government authority operating within Nebraska.

FAQ

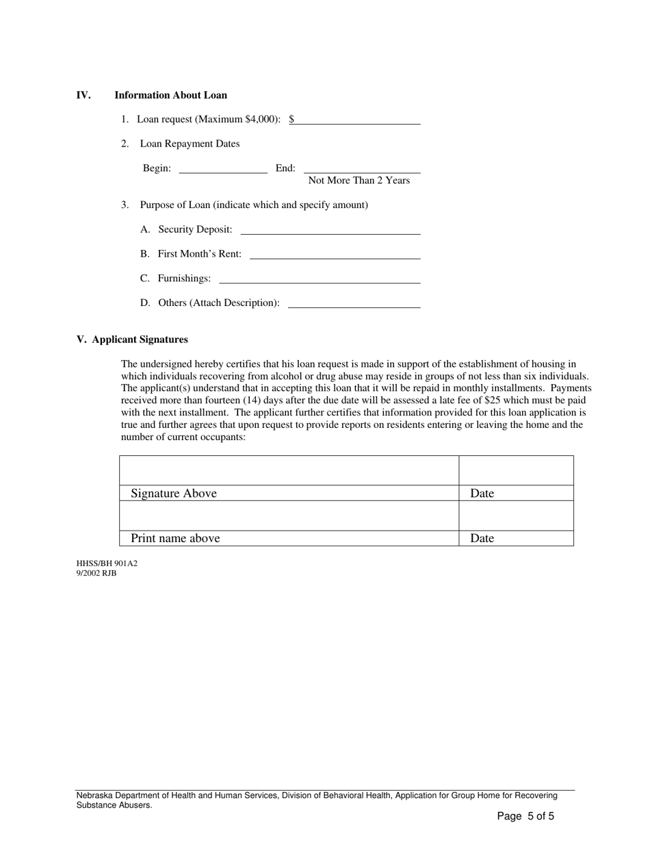
Q: What is the purpose of the loan?
A: The loan is for establishing a group home for recovering substance abusers in Nebraska.

Q: Who can apply for the loan?
A: Any individual or organization interested in establishing a group home for recovering substance abusers in Nebraska can apply.

Q: What is the eligibility criteria for the loan?
A: The eligibility criteria may vary depending on the specific loan program. It is recommended to contact the relevant authorities or organizations for more information.

Q: What documents are required to apply for the loan?
A: The required documents may vary depending on the specific loan program. Generally, you may be required to submit a loan application, business plan, financial statements, and other relevant documents.

Q: How much funding can be obtained through the loan?
A: The amount of funding that can be obtained through the loan will depend on various factors, such as the loan program, project feasibility, and other considerations. It is recommended to consult with the loan provider for specific details.

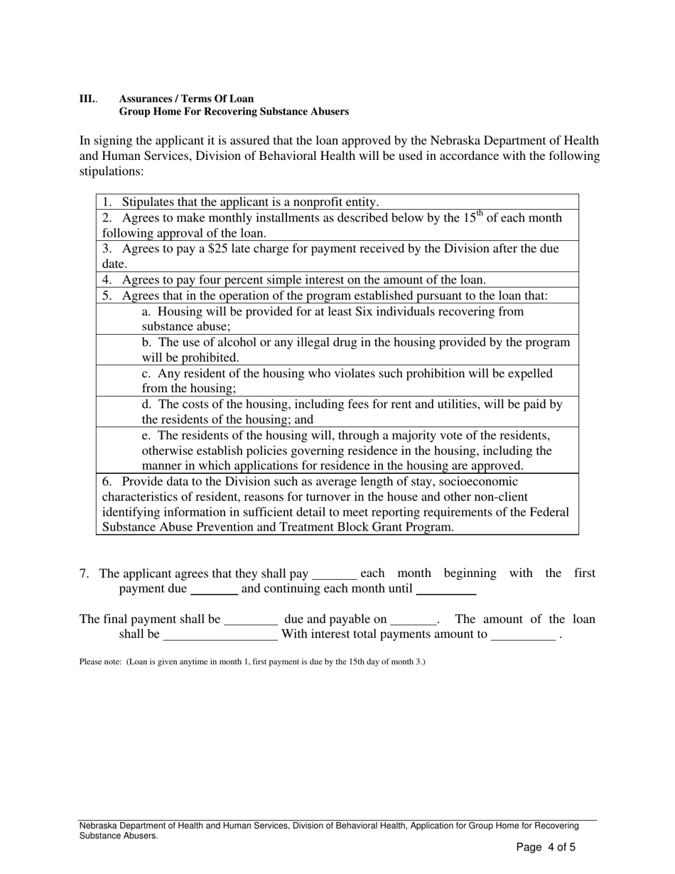
Q: Are there any restrictions on how the loan funds can be used?
A: Loan funds are generally intended to be used for establishing and operating the group home for recovering substance abusers as outlined in the loan application. Certain restrictions or requirements may apply, and it is advisable to clarify these with the loan provider.

Q: Is there any assistance available for completing the loan application?
A: Depending on the loan program, there may be assistance available for completing the loan application. It is recommended to inquire about this with the loan providers or consult with organizations specializing in grant writing or business planning.

Q: Are there any repayment terms associated with the loan?
A: Repayment terms will vary depending on the specific loan program. It is important to review and understand the repayment terms before accepting the loan.

Q: What are the consequences of defaulting on the loan?
A: Defaulting on the loan can have serious consequences, including damage to credit rating and potential legal actions. It is imperative to make timely repayments or communicate with the loan provider if facing financial difficulties.

ADVERTISEMENT

Form Details:

  • Released on July 1, 2008;
  • The latest edition currently provided by the Nebraska Department of Health and Human Services;
  • Ready to use and print;
  • Easy to customize;
  • Compatible with most PDF-viewing applications;
  • Fill out the form in our online filing application.

Download a printable version of the form by clicking the link below or browse more documents and templates provided by the Nebraska Department of Health and Human Services.

Download Application for Loan Group Home for Recovering Substance Abusers - Nebraska

4.7 of 5 (28 votes)
  • Application for Loan Group Home for Recovering Substance Abusers - Nebraska

    1

  • Application for Loan Group Home for Recovering Substance Abusers - Nebraska, Page 2

    2

  • Application for Loan Group Home for Recovering Substance Abusers - Nebraska, Page 3

    3

  • Application for Loan Group Home for Recovering Substance Abusers - Nebraska, Page 4

    4

  • Application for Loan Group Home for Recovering Substance Abusers - Nebraska, Page 5

    5

  • Application for Loan Group Home for Recovering Substance Abusers - Nebraska, Page 1
  • Application for Loan Group Home for Recovering Substance Abusers - Nebraska, Page 2
  • Application for Loan Group Home for Recovering Substance Abusers - Nebraska, Page 3
  • Application for Loan Group Home for Recovering Substance Abusers - Nebraska, Page 4
  • Application for Loan Group Home for Recovering Substance Abusers - Nebraska, Page 5
Prev 1 2 3 4 5 Next
ADVERTISEMENT