Part C Ideia Tribal Count Data Requirements

Part C Ideia Tribal Count Data Requirements

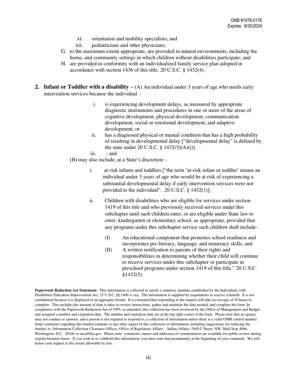
What Is Part C?

This is a legal form that was released by the U.S. Department of the Interior - Bureau of Indian Affairs and used country-wide. As of today, no separate filing guidelines for the form are provided by the issuing department.

FAQ

Q: What is Part C?
A: Part C refers to a section of the Individuals with Disabilities Education Act (IDEA) that provides early intervention services for infants and toddlers with disabilities.

Q: What are tribal count data requirements?
A: Tribal count data requirements are the specific data collection and reporting requirements for Native American tribes under Part C of IDEA.

Q: Who is responsible for collecting tribal count data?
A: Under Part C of IDEA, the state educational agency is responsible for collecting tribal count data.

Q: What is the purpose of collecting tribal count data?
A: The purpose of collecting tribal count data is to ensure accurate representation of Native American children receiving early intervention services, and to inform resource allocation and policy decisions.

Q: Why are tribal count data requirements important?
A: Tribal count data requirements are important to ensure equitable access to early intervention services for Native American children with disabilities and to support the development of effective policies and programs.

Q: How can tribal count data be used?
A: Tribal count data can be used to assess the needs of Native American children with disabilities, monitor the effectiveness of early intervention services, and evaluate the impact of policy changes.

ADVERTISEMENT

Form Details:

  • The latest available edition released by the U.S. Department of the Interior - Bureau of Indian Affairs;
  • Easy to use and ready to print;
  • Yours to fill out and keep for your records;
  • Compatible with most PDF-viewing applications;
  • Fill out the form in our online filing application.

Download a printable version of Part C by clicking the link below or browse more documents and templates provided by the U.S. Department of the Interior - Bureau of Indian Affairs.

Download Part C Ideia Tribal Count Data Requirements

4.7 of 5 (21 votes)
  • Part C Ideia Tribal Count Data Requirements

    1

  • Part C Ideia Tribal Count Data Requirements, Page 2

    2

  • Part C Ideia Tribal Count Data Requirements, Page 3

    3

  • Part C Ideia Tribal Count Data Requirements, Page 4

    4

  • Part C Ideia Tribal Count Data Requirements, Page 5

    5

  • Part C Ideia Tribal Count Data Requirements, Page 6

    6

  • Part C Ideia Tribal Count Data Requirements, Page 1
  • Part C Ideia Tribal Count Data Requirements, Page 2
  • Part C Ideia Tribal Count Data Requirements, Page 3
  • Part C Ideia Tribal Count Data Requirements, Page 4
  • Part C Ideia Tribal Count Data Requirements, Page 5
  • Part C Ideia Tribal Count Data Requirements, Page 6
Prev 1 2 3 4 5 6 Next
ADVERTISEMENT