Form 1F-P-1098 Order / Notice to Withhold Income for Support - Hawaii

Notification Icon This version of the form is not currently in use and is provided for reference only. Download this version of Form 1F-P-1098 for the current year.

Form 1F-P-1098 Order / Notice to Withhold Income for Support - Hawaii

What Is Form 1F-P-1098?

This is a legal form that was released by the Hawaii Family Court - a government authority operating within Hawaii. Check the official instructions before completing and submitting the form.

FAQ

Q: What is Form 1F-P-1098?
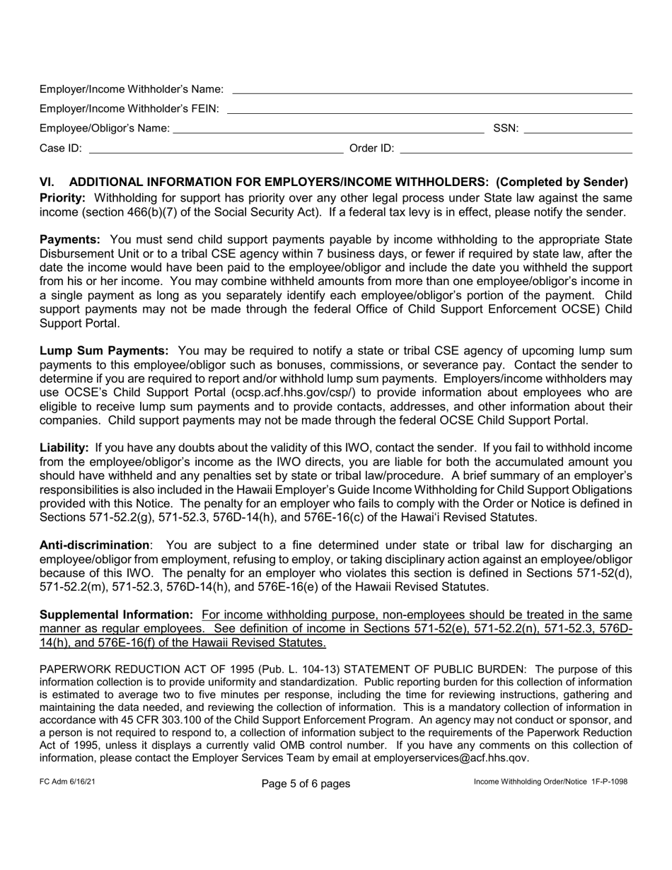
A: Form 1F-P-1098 is a document used in Hawaii for issuing an order to withhold income for child support or alimony.

Q: Who issues Form 1F-P-1098?
A: Form 1F-P-1098 is issued by the Hawaii Department of Human Services or a court.

Q: What is the purpose of Form 1F-P-1098?
A: The purpose of Form 1F-P-1098 is to instruct an employer to withhold income from an employee's wages for child support or alimony payments.

Q: Who receives Form 1F-P-1098?
A: The employer of the individual who owes child support or alimony receives Form 1F-P-1098.

Q: What should an employer do upon receiving Form 1F-P-1098?
A: An employer should promptly begin withholding the specified amount from the employee's wages and remit it to the appropriate recipient.

Q: Is it mandatory to comply with Form 1F-P-1098?
A: Yes, it is mandatory for employers to comply with the instructions provided on Form 1F-P-1098.

Q: What happens if an employer fails to comply with Form 1F-P-1098?
A: If an employer fails to comply with Form 1F-P-1098, they may be subject to penalties and legal consequences.

Q: Can an employee contest the withholding specified in Form 1F-P-1098?
A: Yes, an employee has the right to contest the withholding specified in Form 1F-P-1098 through the appropriate legal channels.

ADVERTISEMENT

Form Details:

  • Released on June 16, 2021;
  • The latest edition provided by the Hawaii Family Court;
  • Easy to use and ready to print;
  • Quick to customize;
  • Compatible with most PDF-viewing applications;
  • Fill out the form in our online filing application.

Download a fillable version of Form 1F-P-1098 by clicking the link below or browse more documents and templates provided by the Hawaii Family Court.

Download Form 1F-P-1098 Order / Notice to Withhold Income for Support - Hawaii

4.7 of 5 (6 votes)
  • Form 1F-P-1098 Order/Notice to Withhold Income for Support - Hawaii

    1

  • Form 1F-P-1098 Order/Notice to Withhold Income for Support - Hawaii, Page 2

    2

  • Form 1F-P-1098 Order/Notice to Withhold Income for Support - Hawaii, Page 3

    3

  • Form 1F-P-1098 Order/Notice to Withhold Income for Support - Hawaii, Page 4

    4

  • Form 1F-P-1098 Order/Notice to Withhold Income for Support - Hawaii, Page 5

    5

  • Form 1F-P-1098 Order/Notice to Withhold Income for Support - Hawaii, Page 6

    6

  • Form 1F-P-1098 Order / Notice to Withhold Income for Support - Hawaii, Page 1
  • Form 1F-P-1098 Order / Notice to Withhold Income for Support - Hawaii, Page 2
  • Form 1F-P-1098 Order / Notice to Withhold Income for Support - Hawaii, Page 3
  • Form 1F-P-1098 Order / Notice to Withhold Income for Support - Hawaii, Page 4
  • Form 1F-P-1098 Order / Notice to Withhold Income for Support - Hawaii, Page 5
  • Form 1F-P-1098 Order / Notice to Withhold Income for Support - Hawaii, Page 6
Prev 1 2 3 4 5 6 Next
ADVERTISEMENT

Related Documents