Form 10 Edit Check Worksheet for Residential Child Care Institutions - New Jersey

Form 10 Edit Check Worksheet for Residential Child Care Institutions - New Jersey

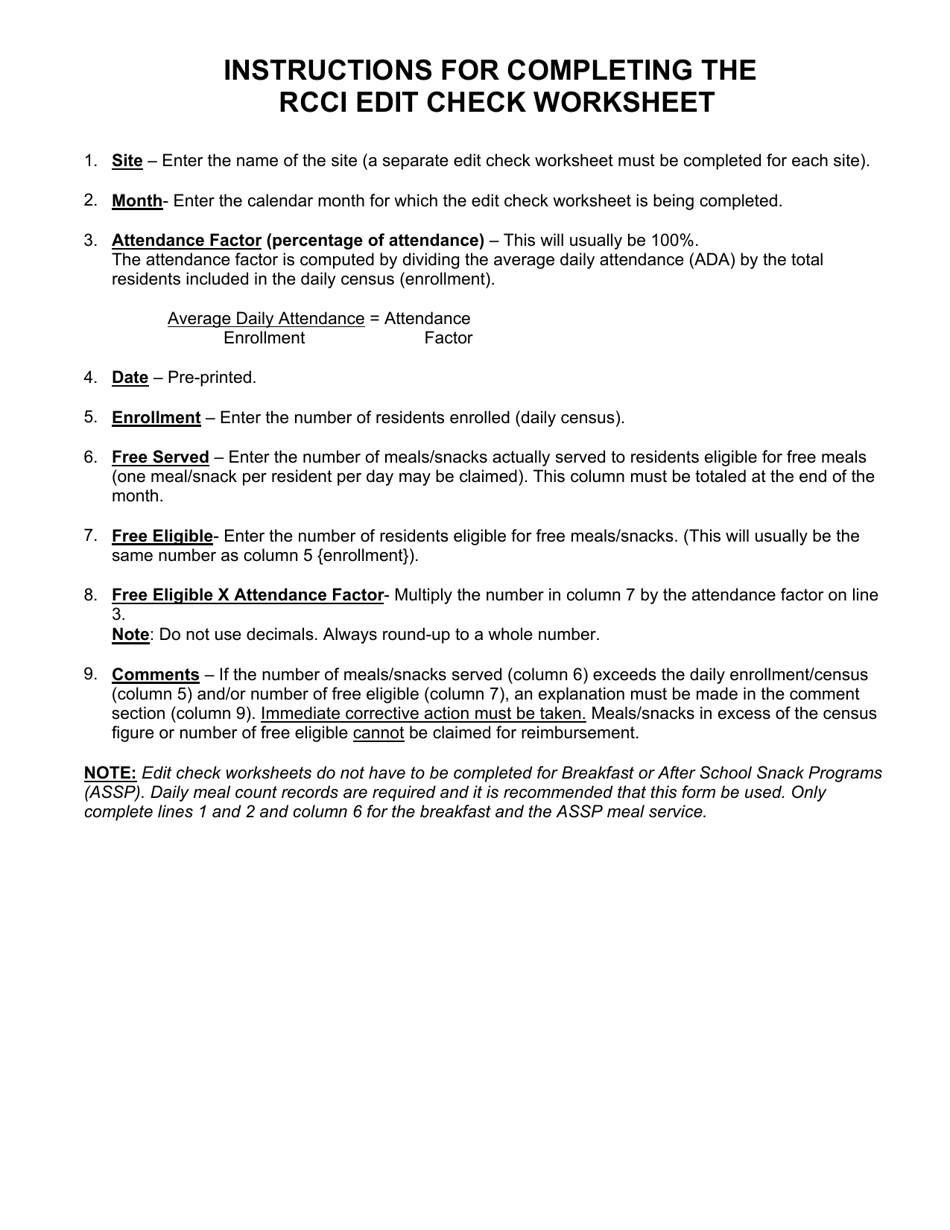
What Is Form 10?

This is a legal form that was released by the New Jersey Department of Agriculture - a government authority operating within New Jersey. As of today, no separate filing guidelines for the form are provided by the issuing department.

FAQ

Q: What is Form 10 Edit Check Worksheet?
A: Form 10 Edit Check Worksheet is a document used by Residential Child Care Institutions in New Jersey.

Q: Who is required to fill out Form 10 Edit Check Worksheet?
A: Residential Child Care Institutions in New Jersey are required to fill out Form 10 Edit Check Worksheet.

Q: What is the purpose of Form 10 Edit Check Worksheet?
A: The purpose of Form 10 Edit Check Worksheet is to ensure that Residential Child Care Institutions are in compliance with regulations.

Q: What information is included in Form 10 Edit Check Worksheet?
A: Form 10 Edit Check Worksheet includes information such as the name and location of the institution, the number of children served, and details about the staff.

Q: Is Form 10 Edit Check Worksheet specific to New Jersey?
A: Yes, Form 10 Edit Check Worksheet is specific to Residential Child Care Institutions in New Jersey.

ADVERTISEMENT

Form Details:

  • Released on February 1, 2007;
  • The latest edition provided by the New Jersey Department of Agriculture;
  • Easy to use and ready to print;
  • Quick to customize;
  • Compatible with most PDF-viewing applications;
  • Fill out the form in our online filing application.

Download a printable version of Form 10 by clicking the link below or browse more documents and templates provided by the New Jersey Department of Agriculture.

Download Form 10 Edit Check Worksheet for Residential Child Care Institutions - New Jersey

4.6 of 5 (22 votes)
  • Form 10 Edit Check Worksheet for Residential Child Care Institutions - New Jersey

    1

  • Form 10 Edit Check Worksheet for Residential Child Care Institutions - New Jersey, Page 2

    2

  • Form 10 Edit Check Worksheet for Residential Child Care Institutions - New Jersey, Page 1
  • Form 10 Edit Check Worksheet for Residential Child Care Institutions - New Jersey, Page 2
Prev 1 2 Next
ADVERTISEMENT