CBP Form 0079 Law Enforcement Officers Safety Act (Leosa) Application

Notification Icon This version of the form is not currently in use and is provided for reference only. Download this version of CBP Form 0079 for the current year.

CBP Form 0079 Law Enforcement Officers Safety Act (Leosa) Application

What Is CBP Form 0079?

This is a legal form that was released by the U.S. Department of Homeland Security - Customs and Border Protection on June 1, 2021 and used country-wide. As of today, no separate filing guidelines for the form are provided by the issuing department.

FAQ

Q: What is CBP Form 0079?
A: CBP Form 0079 is the Law Enforcement Officers Safety Act (LEOSA) Application form.

Q: What is the Law Enforcement Officers Safety Act (LEOSA)?
A: The Law Enforcement Officers Safety Act (LEOSA) is a federal law that allows qualified active and retired law enforcement officers to carry concealed firearms across state lines.

Q: What is the purpose of CBP Form 0079?
A: The purpose of CBP Form 0079 is to apply for a LEOSA identification card, which certifies the eligibility of a law enforcement officer to carry concealed firearms under LEOSA.

Q: Who can apply for a LEOSA identification card using CBP Form 0079?
A: Qualified active and retired law enforcement officers can apply for a LEOSA identification card using CBP Form 0079.

Q: What information is required on CBP Form 0079?
A: CBP Form 0079 requires personal information, employment history, and other details to verify the eligibility of the law enforcement officer.

ADVERTISEMENT

Form Details:

  • Released on June 1, 2021;
  • The latest available edition released by the U.S. Department of Homeland Security - Customs and Border Protection;
  • Easy to use and ready to print;
  • Yours to fill out and keep for your records;
  • Compatible with most PDF-viewing applications;
  • Fill out the form in our online filing application.

Download a fillable version of CBP Form 0079 by clicking the link below or browse more documents and templates provided by the U.S. Department of Homeland Security - Customs and Border Protection.

Download CBP Form 0079 Law Enforcement Officers Safety Act (Leosa) Application

4.4 of 5 (23 votes)
  • CBP Form 0079 Law Enforcement Officers Safety Act (Leosa) Application

    1

  • CBP Form 0079 Law Enforcement Officers Safety Act (Leosa) Application, Page 2

    2

  • CBP Form 0079 Law Enforcement Officers Safety Act (Leosa) Application, Page 3

    3

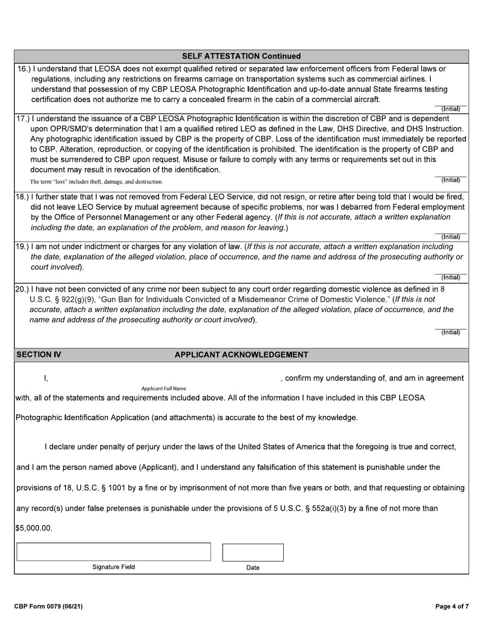
  • CBP Form 0079 Law Enforcement Officers Safety Act (Leosa) Application, Page 4

    4

  • CBP Form 0079 Law Enforcement Officers Safety Act (Leosa) Application, Page 5

    5

  • CBP Form 0079 Law Enforcement Officers Safety Act (Leosa) Application, Page 6

    6

  • CBP Form 0079 Law Enforcement Officers Safety Act (Leosa) Application, Page 7

    7

  • CBP Form 0079 Law Enforcement Officers Safety Act (Leosa) Application, Page 1
  • CBP Form 0079 Law Enforcement Officers Safety Act (Leosa) Application, Page 2
  • CBP Form 0079 Law Enforcement Officers Safety Act (Leosa) Application, Page 3
  • CBP Form 0079 Law Enforcement Officers Safety Act (Leosa) Application, Page 4
  • CBP Form 0079 Law Enforcement Officers Safety Act (Leosa) Application, Page 5
  • CBP Form 0079 Law Enforcement Officers Safety Act (Leosa) Application, Page 6
  • CBP Form 0079 Law Enforcement Officers Safety Act (Leosa) Application, Page 7
Prev 1 2 3 4 5 ... 7 Next
ADVERTISEMENT