Instructions for Developmental Disabilities Supports Division (Ddsd) Regional Office Request for Assistance (Rora) - New Mexico

Instructions for Developmental Disabilities Supports Division (Ddsd) Regional Office Request for Assistance (Rora) - New Mexico

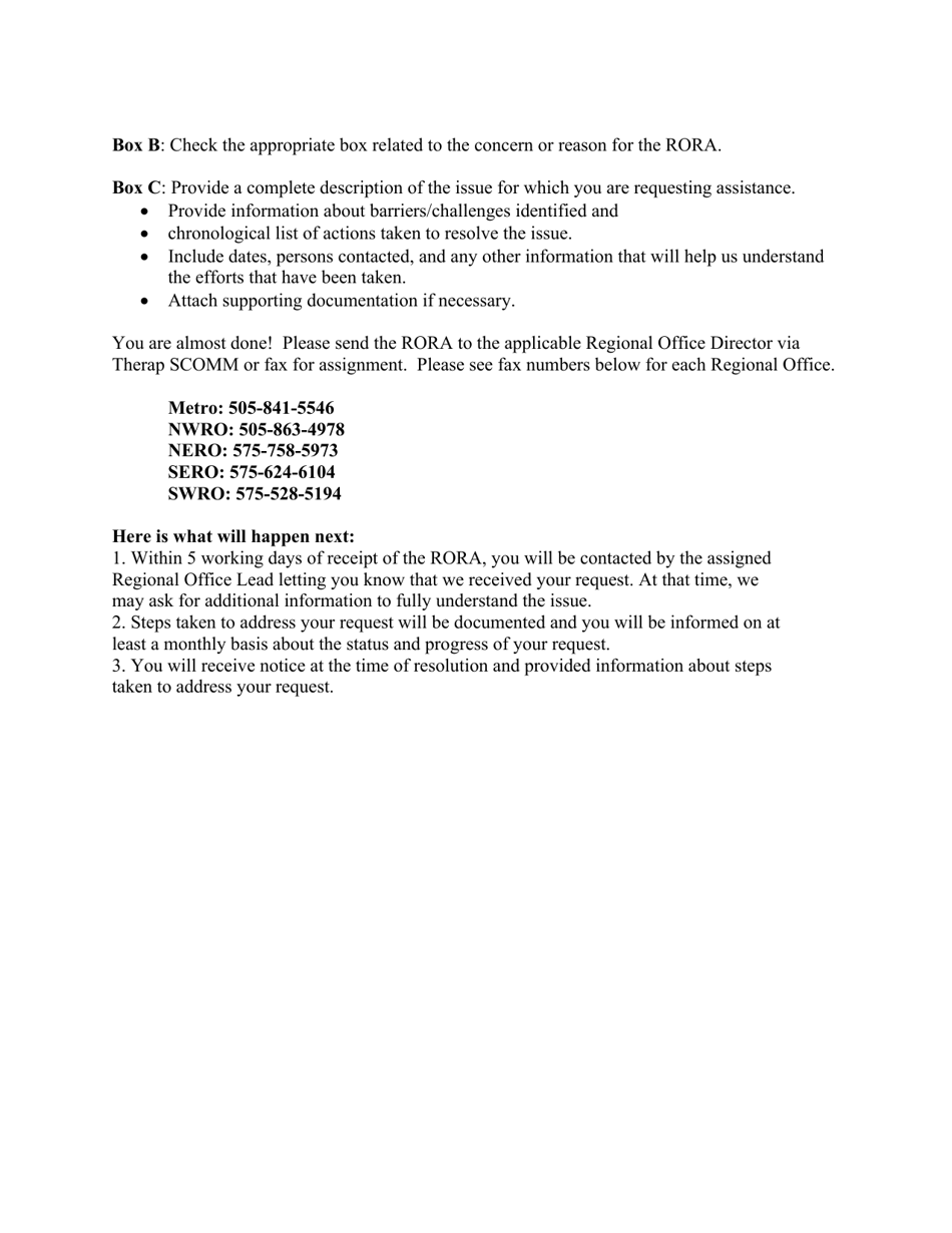
This document was released by New Mexico Department of Health and contains official instructions for Developmental Disabilities Supports Division (Ddsd) Regional Office Request for Assistance (Rora) . The up-to-date fillable form is available for download through this link.

FAQ

Q: What is the Developmental Disabilities Supports Division (DDSD)?
A: The DDSD is a division in New Mexico that provides supports and services for individuals with developmental disabilities.

Q: What is the purpose of the Regional Office Request for Assistance (RORA)?
A: The RORA is a process for individuals, families, and other stakeholders to request assistance from the DDSD Regional Office.

Q: Who can submit a request for assistance through RORA?
A: Anyone, including individuals with developmental disabilities, their families, or other stakeholders, can submit a request for assistance through RORA.

Q: What types of assistance can be requested through RORA?
A: Assistance can be requested for various needs, such as accessing services, navigating the system, or resolving issues related to developmental disabilities.

Q: Is there a deadline for submitting a request through RORA?
A: There is no specific deadline for submitting a request through RORA. Requests can be submitted at any time.

Q: What happens after I submit a request through RORA?
A: After submitting a request, an intake specialist will review the information and determine the appropriate next steps, which may include further assessment or referral to other resources.

Q: Is there a cost for requesting assistance through RORA?
A: No, there is no cost for requesting assistance through RORA. It is a free service provided by the DDSD.

Q: Can I request assistance through RORA for someone other than myself?
A: Yes, you can request assistance through RORA on behalf of someone else, such as a family member or individual with a developmental disability.

Q: Are the services provided through RORA available only in New Mexico?
A: Yes, the services provided through RORA are specific to the state of New Mexico and the DDSD Regional Office.

ADVERTISEMENT

Instruction Details:

  • This 2-page document is available for download in PDF;
  • Actual and applicable for the current year;
  • Complete, printable, and free.

Download your copy of the instructions by clicking the link below or browse hundreds of other forms in our library legal documents released by the New Mexico Department of Health.

Download Instructions for Developmental Disabilities Supports Division (Ddsd) Regional Office Request for Assistance (Rora) - New Mexico

4.5 of 5 (8 votes)
  • Instructions for Developmental Disabilities Supports Division (Ddsd) Regional Office Request for Assistance (Rora) - New Mexico

    1

  • Instructions for Developmental Disabilities Supports Division (Ddsd) Regional Office Request for Assistance (Rora) - New Mexico, Page 2

    2

  • Instructions for Developmental Disabilities Supports Division (Ddsd) Regional Office Request for Assistance (Rora) - New Mexico, Page 1
  • Instructions for Developmental Disabilities Supports Division (Ddsd) Regional Office Request for Assistance (Rora) - New Mexico, Page 2
Prev 1 2 Next
ADVERTISEMENT