Application for Approval of Additions or Changes to Career and Technical Education (Cte) Programs - Nevada

Application for Approval of Additions or Changes to Career and Technical Education (Cte) Programs - Nevada

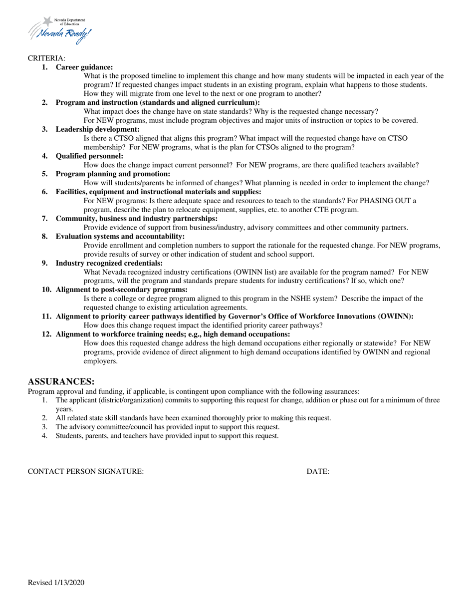
Application for Approval of Additions or Changes to Career and Technical Education (Cte) Programs is a legal document that was released by the Nevada Department of Education - a government authority operating within Nevada.

FAQ

Q: What is the purpose of the Application for Approval of Additions or Changes to Career and Technical Education (CTE) Programs?
A: The purpose of the application is to seek approval for adding or making changes to CTE programs in Nevada.

Q: Who can submit an application for approval?
A: Any educational institution offering CTE programs in Nevada can submit the application.

Q: What types of changes or additions can be included in the application?
A: The application can include requests for adding new CTE programs, modifying existing programs, or discontinuing programs.

Q: What is the process for obtaining approval for additions or changes to CTE programs?
A: The educational institution must complete the application form, provide all required documentation, and submit it to the Nevada Department of Education for review.

Q: Are there any fees associated with the application?
A: Yes, there is a non-refundable fee that must be paid at the time of application submission.

Q: Is approval guaranteed upon submission of the application?
A: No, approval is not guaranteed. The application will be reviewed by the Nevada Department of Education, and a decision will be made based on compliance with state standards and requirements.

Q: What happens if the application is approved?
A: If the application is approved, the educational institution can proceed with implementing the proposed additions or changes to their CTE programs.

Q: What happens if the application is not approved?
A: If the application is not approved, the educational institution will be notified of the reasons for the decision and may have the option to make revisions and resubmit the application.

Q: Are there any timeframes for the application review process?
A: Yes, the Nevada Department of Education aims to review complete applications within 60 days of receipt.

ADVERTISEMENT

Form Details:

  • Released on January 13, 2020;
  • The latest edition currently provided by the Nevada Department of Education;
  • Ready to use and print;
  • Easy to customize;
  • Compatible with most PDF-viewing applications;
  • Fill out the form in our online filing application.

Download a printable version of the form by clicking the link below or browse more documents and templates provided by the Nevada Department of Education.

Download Application for Approval of Additions or Changes to Career and Technical Education (Cte) Programs - Nevada

4.6 of 5 (33 votes)
  • Application for Approval of Additions or Changes to Career and Technical Education (Cte) Programs - Nevada

    1

  • Application for Approval of Additions or Changes to Career and Technical Education (Cte) Programs - Nevada, Page 2

    2

  • Application for Approval of Additions or Changes to Career and Technical Education (Cte) Programs - Nevada, Page 3

    3

  • Application for Approval of Additions or Changes to Career and Technical Education (Cte) Programs - Nevada, Page 1
  • Application for Approval of Additions or Changes to Career and Technical Education (Cte) Programs - Nevada, Page 2
  • Application for Approval of Additions or Changes to Career and Technical Education (Cte) Programs - Nevada, Page 3
Prev 1 2 3 Next
ADVERTISEMENT

Related Documents