Form 127 Application for Liquor License - Brewery (Brew Pub) - Nebraska

Notification Icon This version of the form is not currently in use and is provided for reference only. Download this version of Form 127 for the current year.

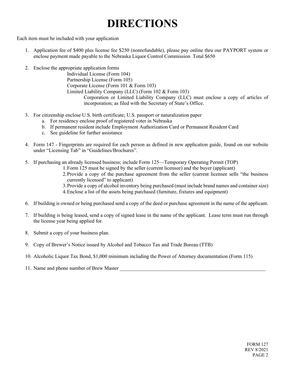
Form 127 Application for Liquor License - Brewery (Brew Pub) - Nebraska

What Is Form 127?

This is a legal form that was released by the Nebraska Liquor Control Commission - a government authority operating within Nebraska. As of today, no separate filing guidelines for the form are provided by the issuing department.

FAQ

Q: What is Form 127?
A: Form 127 is an application for a liquor license for a brewery (brew pub) in Nebraska.

Q: Who needs to fill out Form 127?
A: Anyone who wants to apply for a liquor license for a brewery (brew pub) in Nebraska.

Q: What kind of liquor license is Form 127 for?
A: Form 127 is for a liquor license specifically for a brewery (brew pub).

Q: What information do I need to provide on Form 127?
A: You will need to provide details about your brewery (brew pub), including its location, ownership, and proposed operations.

Q: Are there any additional requirements for obtaining a liquor license for a brewery (brew pub) in Nebraska?
A: Yes, there are additional requirements, such as obtaining a federal brewer's notice and complying with local zoning and health regulations.

Q: Is there a deadline for submitting Form 127?
A: There is no specific deadline, but it is recommended to submit the application well in advance of the desired opening date of the brewery (brew pub).

ADVERTISEMENT

Form Details:

  • Released on August 1, 2021;
  • The latest edition provided by the Nebraska Liquor Control Commission;
  • Easy to use and ready to print;
  • Quick to customize;
  • Compatible with most PDF-viewing applications;
  • Fill out the form in our online filing application.

Download a fillable version of Form 127 by clicking the link below or browse more documents and templates provided by the Nebraska Liquor Control Commission.

Download Form 127 Application for Liquor License - Brewery (Brew Pub) - Nebraska

4.7 of 5 (25 votes)
  • Form 127 Application for Liquor License - Brewery (Brew Pub) - Nebraska

    1

  • Form 127 Application for Liquor License - Brewery (Brew Pub) - Nebraska, Page 2

    2

  • Form 127 Application for Liquor License - Brewery (Brew Pub) - Nebraska, Page 3

    3

  • Form 127 Application for Liquor License - Brewery (Brew Pub) - Nebraska, Page 4

    4

  • Form 127 Application for Liquor License - Brewery (Brew Pub) - Nebraska, Page 5

    5

  • Form 127 Application for Liquor License - Brewery (Brew Pub) - Nebraska, Page 6

    6

  • Form 127 Application for Liquor License - Brewery (Brew Pub) - Nebraska, Page 7

    7

  • Form 127 Application for Liquor License - Brewery (Brew Pub) - Nebraska, Page 8

    8

  • Form 127 Application for Liquor License - Brewery (Brew Pub) - Nebraska, Page 1
  • Form 127 Application for Liquor License - Brewery (Brew Pub) - Nebraska, Page 2
  • Form 127 Application for Liquor License - Brewery (Brew Pub) - Nebraska, Page 3
  • Form 127 Application for Liquor License - Brewery (Brew Pub) - Nebraska, Page 4
  • Form 127 Application for Liquor License - Brewery (Brew Pub) - Nebraska, Page 5
  • Form 127 Application for Liquor License - Brewery (Brew Pub) - Nebraska, Page 6
  • Form 127 Application for Liquor License - Brewery (Brew Pub) - Nebraska, Page 7
  • Form 127 Application for Liquor License - Brewery (Brew Pub) - Nebraska, Page 8
Prev 1 2 3 4 5 ... 8 Next
ADVERTISEMENT