Instructions for Form DHS1179A Change of Circumstance Report Form - Hawaii

Notification Icon This version of the form is not currently in use and is provided for reference only. Download this version of Instructions for Form DHS1179A for the current year.

Instructions for Form DHS1179A Change of Circumstance Report Form - Hawaii

This document contains official instructions for Form DHS1179A , Change of Circumstance Report Form - a form released and collected by the Hawaii Department of Human Services. An up-to-date fillable Form DHS1179A is available for download through this link.

FAQ

Q: What is Form DHS1179A?
A: Form DHS1179A is the Change of Circumstance Report Form.

Q: Who should use Form DHS1179A?
A: This form is for residents of Hawaii who need to report changes in their circumstances.

Q: What changes of circumstance should be reported?
A: Changes such as address, income, household members, or medical expenses should be reported.

Q: How should I fill out Form DHS1179A?
A: Follow the instructions on the form carefully and provide accurate and complete information.

Q: When should I submit Form DHS1179A?
A: You should submit this form as soon as possible after the change in circumstances occurs.

Q: What happens after I submit Form DHS1179A?
A: The DHS will review the information and make any necessary updates or changes to your benefits or eligibility.

Q: Is there a deadline for submitting Form DHS1179A?
A: While there is no specific deadline, it is best to submit the form promptly to avoid any potential issues with your benefits.

ADVERTISEMENT

Instruction Details:

  • This 3-page document is available for download in PDF;
  • Actual and applicable for the current year;
  • Complete, printable, and free.

Download your copy of the instructions by clicking the link below or browse hundreds of other forms in our library of forms released by the Hawaii Department of Human Services.

Download Instructions for Form DHS1179A Change of Circumstance Report Form - Hawaii

4.3 of 5 (11 votes)
  • Instructions for Form DHS1179A Change of Circumstance Report Form - Hawaii

    1

  • Instructions for Form DHS1179A Change of Circumstance Report Form - Hawaii, Page 2

    2

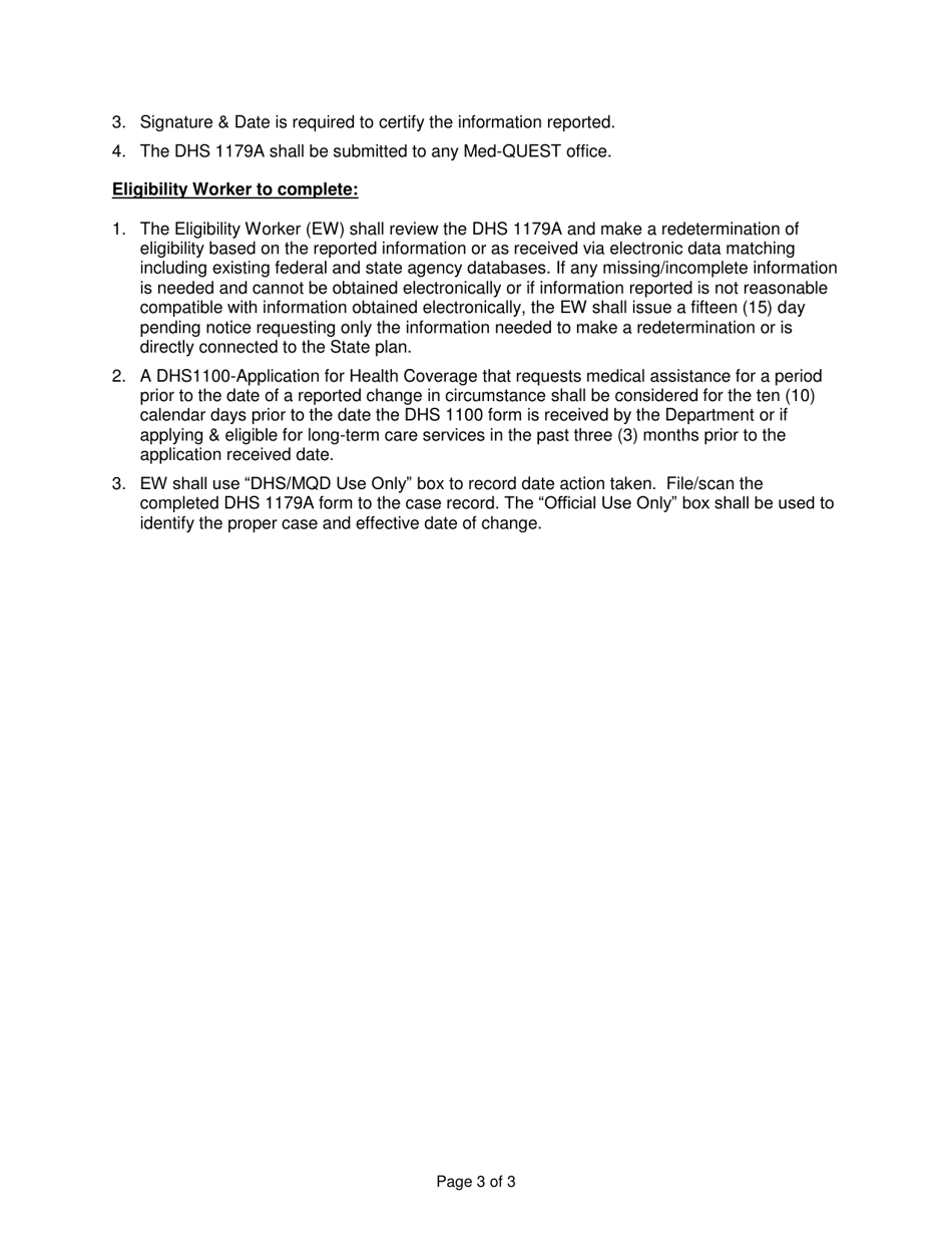
  • Instructions for Form DHS1179A Change of Circumstance Report Form - Hawaii, Page 3

    3

  • Instructions for Form DHS1179A Change of Circumstance Report Form - Hawaii, Page 1
  • Instructions for Form DHS1179A Change of Circumstance Report Form - Hawaii, Page 2
  • Instructions for Form DHS1179A Change of Circumstance Report Form - Hawaii, Page 3
Prev 1 2 3 Next
ADVERTISEMENT