New Research Proposal and Funding Request - Idaho

New Research Proposal and Funding Request - Idaho

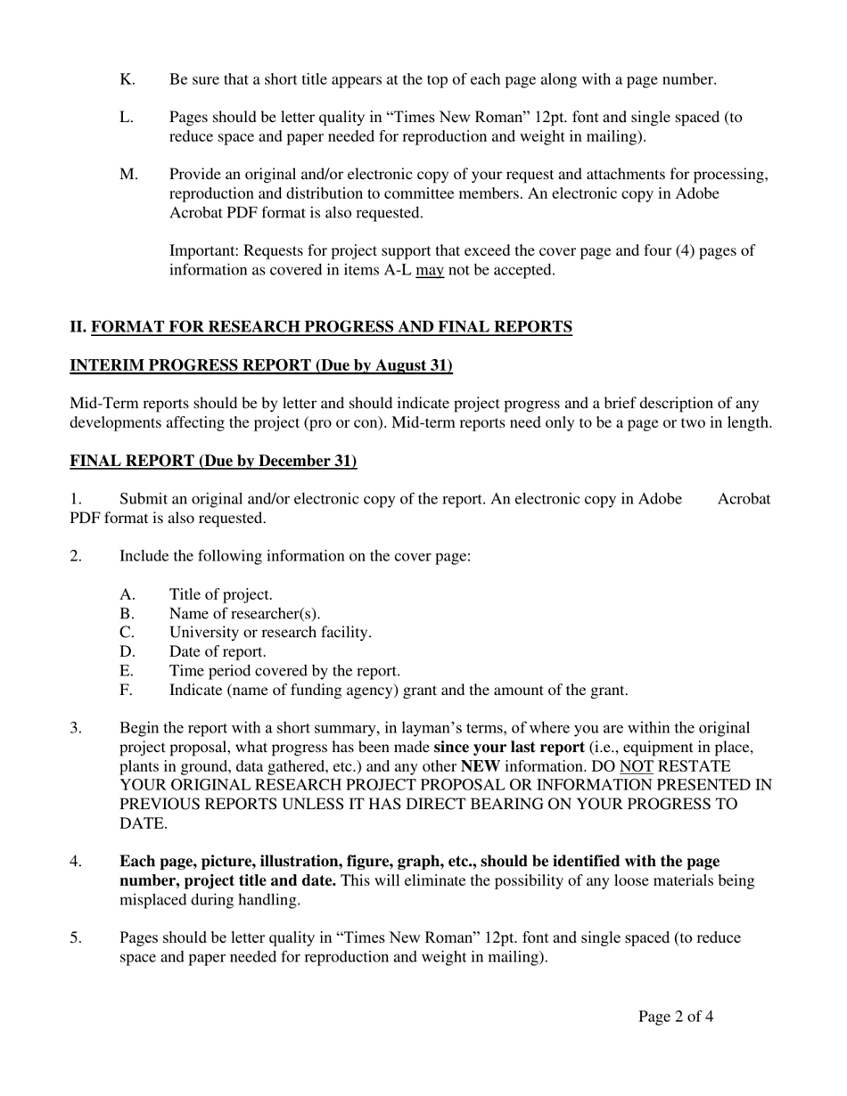
New Research Proposal and Funding Request is a legal document that was released by the Idaho Department of Agriculture - a government authority operating within Idaho.

FAQ

Q: What is the research proposal about?
A: The research proposal is about a new project or study in Idaho.

Q: What is the purpose of the funding request?
A: The purpose of the funding request is to seek financial support for the research proposal.

Q: Who is requesting the funding?
A: The funding is being requested by the organization or individual responsible for the research proposal.

Q: Why is the funding necessary?
A: The funding is necessary to cover the costs associated with the research project, including equipment, materials, and personnel.

Q: How can the funding be obtained?
A: The funding can be obtained through grants, sponsorships, or other funding opportunities.

Q: What are the potential benefits of the research proposal?
A: The potential benefits of the research proposal include new knowledge or insights, advancements in a particular field, and potential practical applications.

Q: Who will conduct the research?
A: The research will be conducted by professionals or experts in the relevant field.

Q: What is the timeline for the research project?
A: The timeline for the research project will depend on its scope and complexity, and will be outlined in the proposal.

Q: Are there any specific outcomes expected from the research?
A: Yes, specific outcomes or findings are expected from the research, which will be detailed in the proposal.

ADVERTISEMENT

Form Details:

  • Released on March 1, 2020;
  • The latest edition currently provided by the Idaho Department of Agriculture;
  • Ready to use and print;
  • Easy to customize;
  • Compatible with most PDF-viewing applications;
  • Fill out the form in our online filing application.

Download a printable version of the form by clicking the link below or browse more documents and templates provided by the Idaho Department of Agriculture.

Download New Research Proposal and Funding Request - Idaho

4.3 of 5 (21 votes)
  • New Research Proposal and Funding Request - Idaho

    1

  • New Research Proposal and Funding Request - Idaho, Page 2

    2

  • New Research Proposal and Funding Request - Idaho, Page 3

    3

  • New Research Proposal and Funding Request - Idaho, Page 4

    4

  • New Research Proposal and Funding Request - Idaho, Page 5

    5

  • New Research Proposal and Funding Request - Idaho, Page 1
  • New Research Proposal and Funding Request - Idaho, Page 2
  • New Research Proposal and Funding Request - Idaho, Page 3
  • New Research Proposal and Funding Request - Idaho, Page 4
  • New Research Proposal and Funding Request - Idaho, Page 5
Prev 1 2 3 4 5 Next
ADVERTISEMENT