Form 4 Sponsor Application for Approval of a Cle Course - Virginia

Form 4 Sponsor Application for Approval of a Cle Course - Virginia

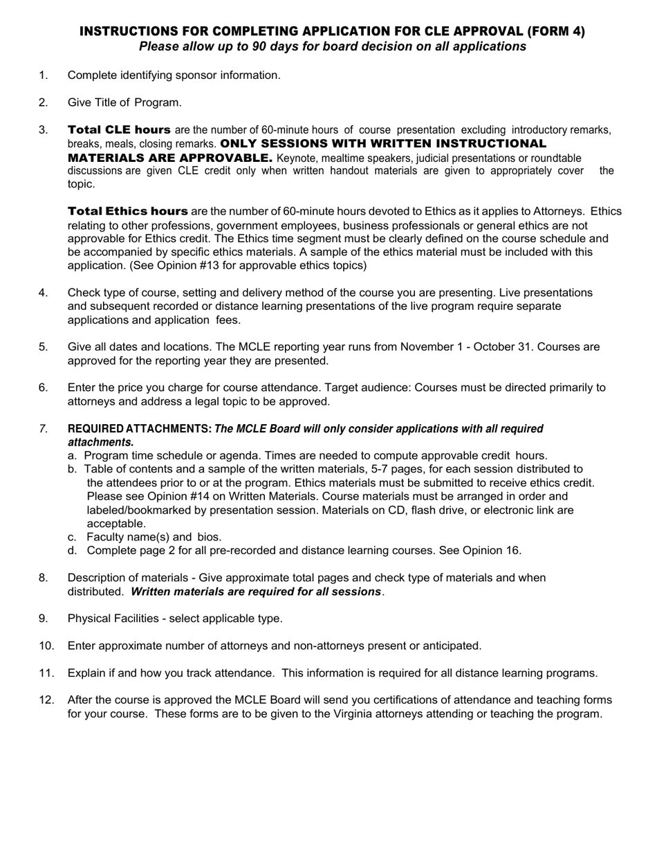
What Is Form 4?

This is a legal form that was released by the Virginia State Bar - a government authority operating within Virginia. As of today, no separate filing guidelines for the form are provided by the issuing department.

FAQ

Q: What is a Form 4 Sponsor Application?
A: A Form 4 Sponsor Application is a request for approval of a Continuing Legal Education (CLE) course in the state of Virginia.

Q: Who can submit a Form 4 Sponsor Application?
A: Any provider or sponsor of CLE courses in Virginia can submit a Form 4 Sponsor Application.

Q: What is the purpose of a Form 4 Sponsor Application?
A: The purpose of a Form 4 Sponsor Application is to seek approval from the Virginia State Bar for a CLE course.

Q: What information is required in a Form 4 Sponsor Application?
A: A Form 4 Sponsor Application requires details about the course content, instructor qualifications, and other relevant information.

Q: How long does it take to process a Form 4 Sponsor Application?
A: The processing time for a Form 4 Sponsor Application is typically 4-6 weeks.

Q: What happens after a Form 4 Sponsor Application is approved?
A: Once a Form 4 Sponsor Application is approved, the CLE course can be offered to attorneys for credit in Virginia.

ADVERTISEMENT

Form Details:

  • The latest edition provided by the Virginia State Bar;
  • Easy to use and ready to print;
  • Quick to customize;
  • Compatible with most PDF-viewing applications;
  • Fill out the form in our online filing application.

Download a fillable version of Form 4 by clicking the link below or browse more documents and templates provided by the Virginia State Bar.

Download Form 4 Sponsor Application for Approval of a Cle Course - Virginia

4.4 of 5 (11 votes)
  • Form 4 Sponsor Application for Approval of a Cle Course - Virginia

    1

  • Form 4 Sponsor Application for Approval of a Cle Course - Virginia, Page 2

    2

  • Form 4 Sponsor Application for Approval of a Cle Course - Virginia, Page 3

    3

  • Form 4 Sponsor Application for Approval of a Cle Course - Virginia, Page 4

    4

  • Form 4 Sponsor Application for Approval of a Cle Course - Virginia, Page 5

    5

  • Form 4 Sponsor Application for Approval of a Cle Course - Virginia, Page 6

    6

  • Form 4 Sponsor Application for Approval of a Cle Course - Virginia, Page 7

    7

  • Form 4 Sponsor Application for Approval of a Cle Course - Virginia, Page 1
  • Form 4 Sponsor Application for Approval of a Cle Course - Virginia, Page 2
  • Form 4 Sponsor Application for Approval of a Cle Course - Virginia, Page 3
  • Form 4 Sponsor Application for Approval of a Cle Course - Virginia, Page 4
  • Form 4 Sponsor Application for Approval of a Cle Course - Virginia, Page 5
  • Form 4 Sponsor Application for Approval of a Cle Course - Virginia, Page 6
  • Form 4 Sponsor Application for Approval of a Cle Course - Virginia, Page 7
Prev 1 2 3 4 5 ... 7 Next
ADVERTISEMENT

Related Documents