Form PG-415 Order Appointing Conservator - Alaska

Notification Icon This version of the form is not currently in use and is provided for reference only. Download this version of Form PG-415 for the current year.

Form PG-415 Order Appointing Conservator - Alaska

What Is Form PG-415?

This is a legal form that was released by the Alaska Superior Court - a government authority operating within Alaska. As of today, no separate filing guidelines for the form are provided by the issuing department.

FAQ

Q: What is Form PG-415?
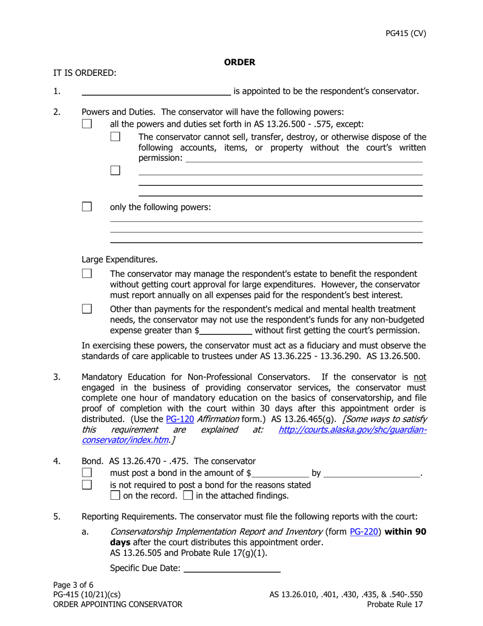
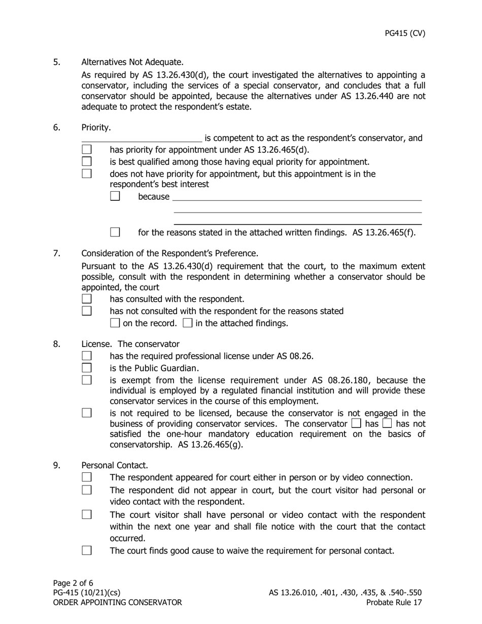
A: Form PG-415 is an Order Appointing Conservator in the state of Alaska.

Q: What does Form PG-415 do?
A: Form PG-415 is used to appoint a conservator to manage the affairs of an incapacitated person in Alaska.

Q: Who can file Form PG-415?
A: Form PG-415 can be filed by any interested party, such as a family member or a healthcare provider.

Q: Is there a fee to file Form PG-415?
A: Yes, there is a filing fee associated with Form PG-415. The amount may vary depending on the county.

Q: What information is required on Form PG-415?
A: Form PG-415 requires the name and contact information of the person requesting the appointment of a conservator, as well as the name and contact information of the proposed conservator. It also requires a description of the incapacitated person's condition and the reasons why a conservator is needed.

Q: Are there any other forms or documents that need to be filed with Form PG-415?
A: Yes, in addition to Form PG-415, you may need to file other supporting documents, such as a petition for conservatorship and medical reports.

Q: What happens after Form PG-415 is filed?
A: After Form PG-415 is filed, a hearing will be scheduled where the court will review the request for appointment of a conservator. If the court determines that a conservator is necessary, it will issue an order appointing a conservator.

Q: What do I do if I need help filling out Form PG-415?
A: If you need assistance with filling out Form PG-415, you can consult an attorney or contact the probate court in your county for guidance.

ADVERTISEMENT

Form Details:

  • Released on October 1, 2021;
  • The latest edition provided by the Alaska Superior Court;
  • Easy to use and ready to print;
  • Quick to customize;
  • Compatible with most PDF-viewing applications;
  • Fill out the form in our online filing application.

Download a printable version of Form PG-415 by clicking the link below or browse more documents and templates provided by the Alaska Superior Court.

Download Form PG-415 Order Appointing Conservator - Alaska

4.5 of 5 (13 votes)
  • Form PG-415 Order Appointing Conservator - Alaska

    1

  • Form PG-415 Order Appointing Conservator - Alaska, Page 2

    2

  • Form PG-415 Order Appointing Conservator - Alaska, Page 3

    3

  • Form PG-415 Order Appointing Conservator - Alaska, Page 4

    4

  • Form PG-415 Order Appointing Conservator - Alaska, Page 5

    5

  • Form PG-415 Order Appointing Conservator - Alaska, Page 6

    6

  • Form PG-415 Order Appointing Conservator - Alaska, Page 1
  • Form PG-415 Order Appointing Conservator - Alaska, Page 2
  • Form PG-415 Order Appointing Conservator - Alaska, Page 3
  • Form PG-415 Order Appointing Conservator - Alaska, Page 4
  • Form PG-415 Order Appointing Conservator - Alaska, Page 5
  • Form PG-415 Order Appointing Conservator - Alaska, Page 6
Prev 1 2 3 4 5 6 Next
ADVERTISEMENT