Form 11270 Mediation Request Statement - Homeowner-Borrower(S) Request for Court Sponsored Foreclosure Mediation - New Jersey

Form 11270 Mediation Request Statement - Homeowner-Borrower(S) Request for Court Sponsored Foreclosure Mediation - New Jersey

What Is Form 11270?

This is a legal form that was released by the New Jersey Superior Court - a government authority operating within New Jersey. As of today, no separate filing guidelines for the form are provided by the issuing department.

FAQ

Q: What is Form 11270?
A: Form 11270 is a Mediation Request Statement.

Q: Who can use Form 11270?
A: Homeowner-Borrower(s) can use Form 11270.

Q: What is the purpose of Form 11270?
A: The purpose of Form 11270 is to request court-sponsored foreclosure mediation.

Q: Is Form 11270 specific to a state?
A: Yes, Form 11270 is specific to New Jersey.

Q: What does the Mediation Request Statement require?
A: The Mediation Request Statement requires information from the homeowner-borrower(s).

ADVERTISEMENT

Form Details:

  • Released on September 1, 2021;
  • The latest edition provided by the New Jersey Superior Court;
  • Easy to use and ready to print;
  • Available in Spanish;
  • Quick to customize;
  • Compatible with most PDF-viewing applications;
  • Fill out the form in our online filing application.

Download a fillable version of Form 11270 by clicking the link below or browse more documents and templates provided by the New Jersey Superior Court.

Download Form 11270 Mediation Request Statement - Homeowner-Borrower(S) Request for Court Sponsored Foreclosure Mediation - New Jersey

4.6 of 5 (13 votes)
  • Form 11270 Mediation Request Statement - Homeowner-Borrower(S) Request for Court Sponsored Foreclosure Mediation - New Jersey

    1

  • Form 11270 Mediation Request Statement - Homeowner-Borrower(S) Request for Court Sponsored Foreclosure Mediation - New Jersey, Page 2

    2

  • Form 11270 Mediation Request Statement - Homeowner-Borrower(S) Request for Court Sponsored Foreclosure Mediation - New Jersey, Page 3

    3

  • Form 11270 Mediation Request Statement - Homeowner-Borrower(S) Request for Court Sponsored Foreclosure Mediation - New Jersey, Page 4

    4

  • Form 11270 Mediation Request Statement - Homeowner-Borrower(S) Request for Court Sponsored Foreclosure Mediation - New Jersey, Page 5

    5

  • Form 11270 Mediation Request Statement - Homeowner-Borrower(S) Request for Court Sponsored Foreclosure Mediation - New Jersey, Page 6

    6

  • Form 11270 Mediation Request Statement - Homeowner-Borrower(S) Request for Court Sponsored Foreclosure Mediation - New Jersey, Page 7

    7

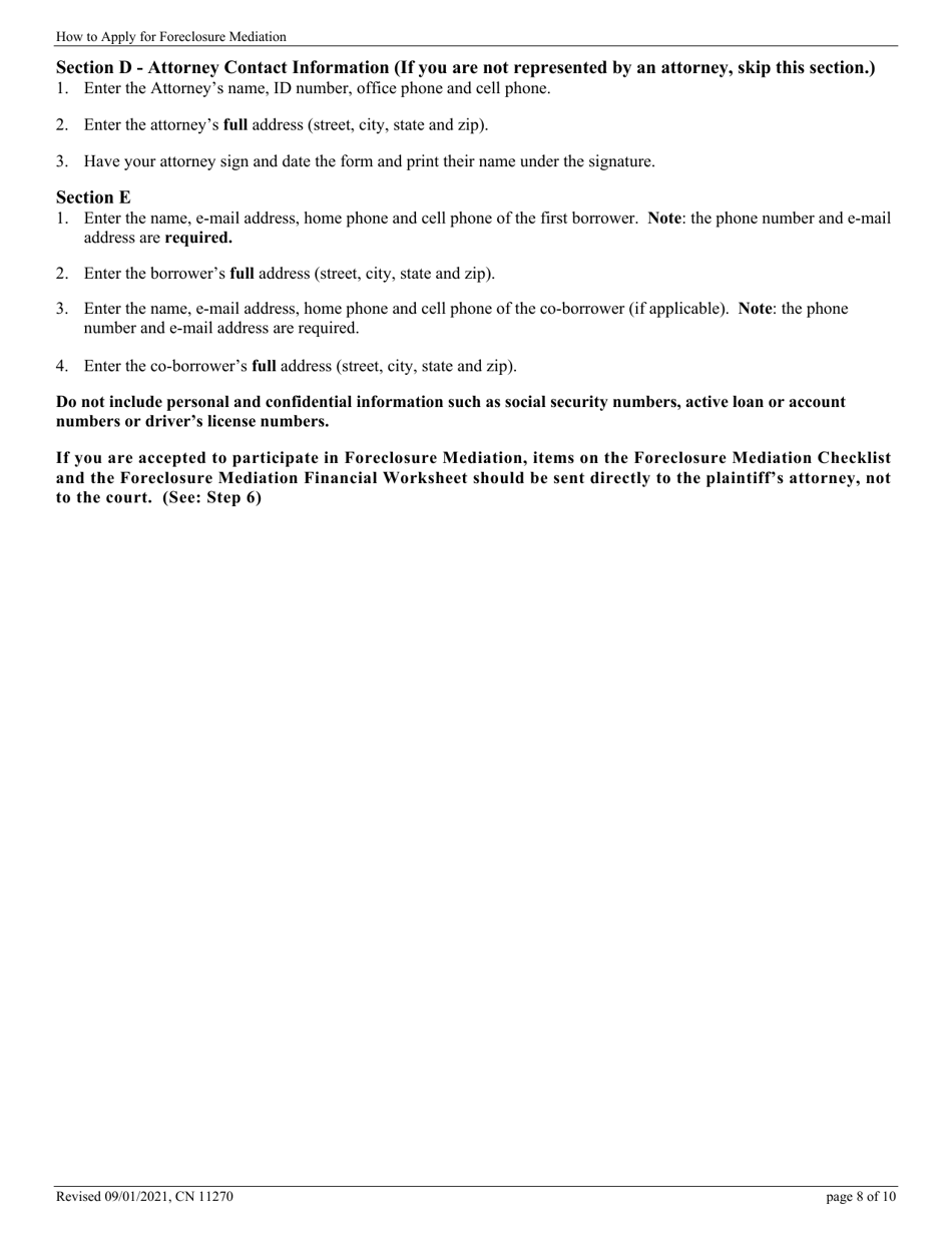
  • Form 11270 Mediation Request Statement - Homeowner-Borrower(S) Request for Court Sponsored Foreclosure Mediation - New Jersey, Page 8

    8

  • Form 11270 Mediation Request Statement - Homeowner-Borrower(S) Request for Court Sponsored Foreclosure Mediation - New Jersey, Page 9

    9

  • Form 11270 Mediation Request Statement - Homeowner-Borrower(S) Request for Court Sponsored Foreclosure Mediation - New Jersey, Page 10

    10

  • Form 11270 Mediation Request Statement - Homeowner-Borrower(S) Request for Court Sponsored Foreclosure Mediation - New Jersey, Page 1
  • Form 11270 Mediation Request Statement - Homeowner-Borrower(S) Request for Court Sponsored Foreclosure Mediation - New Jersey, Page 2
  • Form 11270 Mediation Request Statement - Homeowner-Borrower(S) Request for Court Sponsored Foreclosure Mediation - New Jersey, Page 3
  • Form 11270 Mediation Request Statement - Homeowner-Borrower(S) Request for Court Sponsored Foreclosure Mediation - New Jersey, Page 4
  • Form 11270 Mediation Request Statement - Homeowner-Borrower(S) Request for Court Sponsored Foreclosure Mediation - New Jersey, Page 5
  • Form 11270 Mediation Request Statement - Homeowner-Borrower(S) Request for Court Sponsored Foreclosure Mediation - New Jersey, Page 6
  • Form 11270 Mediation Request Statement - Homeowner-Borrower(S) Request for Court Sponsored Foreclosure Mediation - New Jersey, Page 7
  • Form 11270 Mediation Request Statement - Homeowner-Borrower(S) Request for Court Sponsored Foreclosure Mediation - New Jersey, Page 8
  • Form 11270 Mediation Request Statement - Homeowner-Borrower(S) Request for Court Sponsored Foreclosure Mediation - New Jersey, Page 9
  • Form 11270 Mediation Request Statement - Homeowner-Borrower(S) Request for Court Sponsored Foreclosure Mediation - New Jersey, Page 10
Prev 1 2 3 4 5 ... 10 Next
ADVERTISEMENT