Form HUD-92300 Mortgagee's Assurance of Completion

Form HUD-92300 Mortgagee's Assurance of Completion

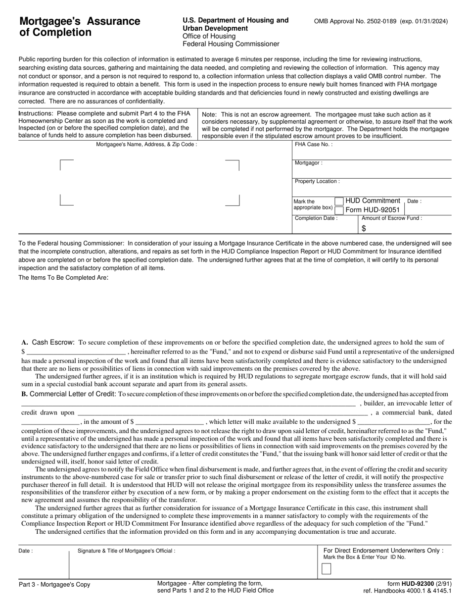
What Is Form HUD-92300?

This is a legal form that was released by the U.S. Department of Housing and Urban Development on February 1, 1991 and used country-wide. As of today, no separate filing guidelines for the form are provided by the issuing department.

FAQ

Q: What is Form HUD-92300?
A: Form HUD-92300 is Mortgagee's Assurance of Completion.

Q: Who is the intended recipient of Form HUD-92300?
A: The intended recipient of Form HUD-92300 is the mortgagee.

Q: What is the purpose of Form HUD-92300?
A: The purpose of Form HUD-92300 is to assure the completion of construction or rehabilitation work on a property.

Q: What information is included in Form HUD-92300?
A: Form HUD-92300 includes information about the property, the mortgagee, and details of the construction or rehabilitation work.

Q: Do I need to submit Form HUD-92300?
A: Whether you need to submit Form HUD-92300 depends on the requirements of your mortgage agreement or lender.

Q: Is there a deadline for submitting Form HUD-92300?
A: The deadline for submitting Form HUD-92300 may vary depending on the specific mortgage agreement or lender requirements.

Q: Can Form HUD-92300 be submitted electronically?
A: Yes, in most cases, Form HUD-92300 can be submitted electronically.

Q: What should I do if I have questions about Form HUD-92300?
A: If you have questions about Form HUD-92300, you should reach out to your mortgagee or contact the U.S. Department of Housing and Urban Development (HUD) for assistance.

ADVERTISEMENT

Form Details:

  • Released on February 1, 1991;
  • The latest available edition released by the U.S. Department of Housing and Urban Development;
  • Easy to use and ready to print;
  • Yours to fill out and keep for your records;
  • Compatible with most PDF-viewing applications;
  • Fill out the form in our online filing application.

Download a fillable version of Form HUD-92300 by clicking the link below or browse more documents and templates provided by the U.S. Department of Housing and Urban Development.

Download Form HUD-92300 Mortgagee's Assurance of Completion

4.3 of 5 (16 votes)
  • Form HUD-92300 Mortgagee's Assurance of Completion

    1

  • Form HUD-92300 Mortgagee's Assurance of Completion, Page 2

    2

  • Form HUD-92300 Mortgagee's Assurance of Completion, Page 3

    3

  • Form HUD-92300 Mortgagee's Assurance of Completion, Page 4

    4

  • Form HUD-92300 Mortgagee's Assurance of Completion, Page 5

    5

  • Form HUD-92300 Mortgagees Assurance of Completion, Page 1
  • Form HUD-92300 Mortgagees Assurance of Completion, Page 2
  • Form HUD-92300 Mortgagees Assurance of Completion, Page 3
  • Form HUD-92300 Mortgagees Assurance of Completion, Page 4
  • Form HUD-92300 Mortgagees Assurance of Completion, Page 5
Prev 1 2 3 4 5 Next
ADVERTISEMENT