PPQ Form 588 Application for Controlled Import Permit (Cip) to Import Restricted or Not Authorized Plant Material

PPQ Form 588 Application for Controlled Import Permit (Cip) to Import Restricted or Not Authorized Plant Material

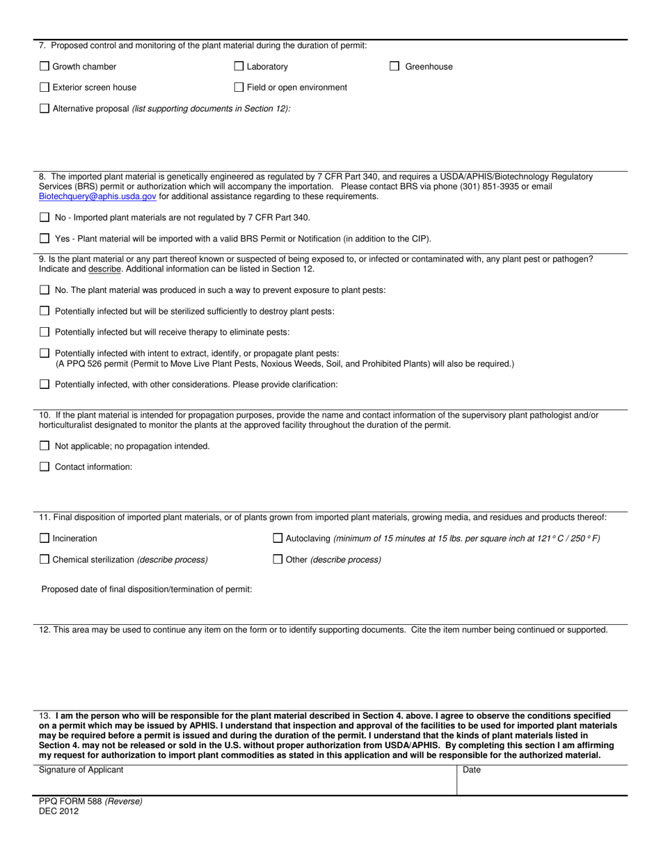
What Is PPQ Form 588?

This is a legal form that was released by the U.S. Department of Agriculture - Animal and Plant HealthInspection Service on December 1, 2012 and used country-wide. As of today, no separate filing guidelines for the form are provided by the issuing department.

FAQ

Q: What is PPQ Form 588?
A: PPQ Form 588 is an application form for a Controlled Import Permit (CIP) to import restricted or not authorized plant material.

Q: What is a Controlled Import Permit (CIP)?
A: A Controlled Import Permit (CIP) is a permit that allows the importation of restricted or not authorized plant material.

Q: What is restricted or not authorized plant material?
A: Restricted or not authorized plant material refers to plants, plant products, or related materials that require special permission to be imported.

Q: Why do I need a Controlled Import Permit (CIP)?
A: You need a Controlled Import Permit (CIP) to import restricted or not authorized plant material legally.

Q: How can I obtain PPQ Form 588?
A: You can obtain PPQ Form 588 by contacting the relevant authority or agency responsible for plant import permits.

Q: What information do I need to provide in PPQ Form 588?
A: You will need to provide information about the plant material, including its origin, intended use, and any necessary documentation or certifications.

Q: Is there a fee for obtaining a Controlled Import Permit (CIP)?
A: Yes, there may be a fee associated with obtaining a Controlled Import Permit (CIP). The specific fee amount will depend on the regulations of the issuing authority.

Q: How long does it take to process a Controlled Import Permit (CIP) application?
A: The processing time for a Controlled Import Permit (CIP) application can vary. It is best to contact the issuing authority for an estimate of the processing time.

Q: Can I import restricted or not authorized plant material without a permit?
A: No, it is illegal to import restricted or not authorized plant material without a Controlled Import Permit (CIP) or other necessary permits.

Q: What are the consequences of importing restricted or not authorized plant material without a permit?
A: Importing restricted or not authorized plant material without a permit can result in penalties, fines, and confiscation of the plant material.

ADVERTISEMENT

Form Details:

  • Released on December 1, 2012;
  • The latest available edition released by the U.S. Department of Agriculture - Animal and Plant Health Inspection Service;
  • Easy to use and ready to print;
  • Yours to fill out and keep for your records;
  • Compatible with most PDF-viewing applications;
  • Fill out the form in our online filing application.

Download a fillable version of PPQ Form 588 by clicking the link below or browse more documents and templates provided by the U.S. Department of Agriculture - Animal and Plant Health Inspection Service.

Download PPQ Form 588 Application for Controlled Import Permit (Cip) to Import Restricted or Not Authorized Plant Material

4.7 of 5 (15 votes)
  • PPQ Form 588 Application for Controlled Import Permit (Cip) to Import Restricted or Not Authorized Plant Material

    1

  • PPQ Form 588 Application for Controlled Import Permit (Cip) to Import Restricted or Not Authorized Plant Material, Page 2

    2

  • PPQ Form 588 Application for Controlled Import Permit (Cip) to Import Restricted or Not Authorized Plant Material, Page 3

    3

  • PPQ Form 588 Application for Controlled Import Permit (Cip) to Import Restricted or Not Authorized Plant Material, Page 1
  • PPQ Form 588 Application for Controlled Import Permit (Cip) to Import Restricted or Not Authorized Plant Material, Page 2
  • PPQ Form 588 Application for Controlled Import Permit (Cip) to Import Restricted or Not Authorized Plant Material, Page 3
Prev 1 2 3 Next
ADVERTISEMENT