Form PG-425 Order Appointing Temporary Conservator Under as 13.26.445 - Alaska

Notification Icon This version of the form is not currently in use and is provided for reference only. Download this version of Form PG-425 for the current year.

Form PG-425 Order Appointing Temporary Conservator Under as 13.26.445 - Alaska

What Is Form PG-425?

This is a legal form that was released by the Alaska Superior Court - a government authority operating within Alaska. As of today, no separate filing guidelines for the form are provided by the issuing department.

FAQ

Q: What is Form PG-425?
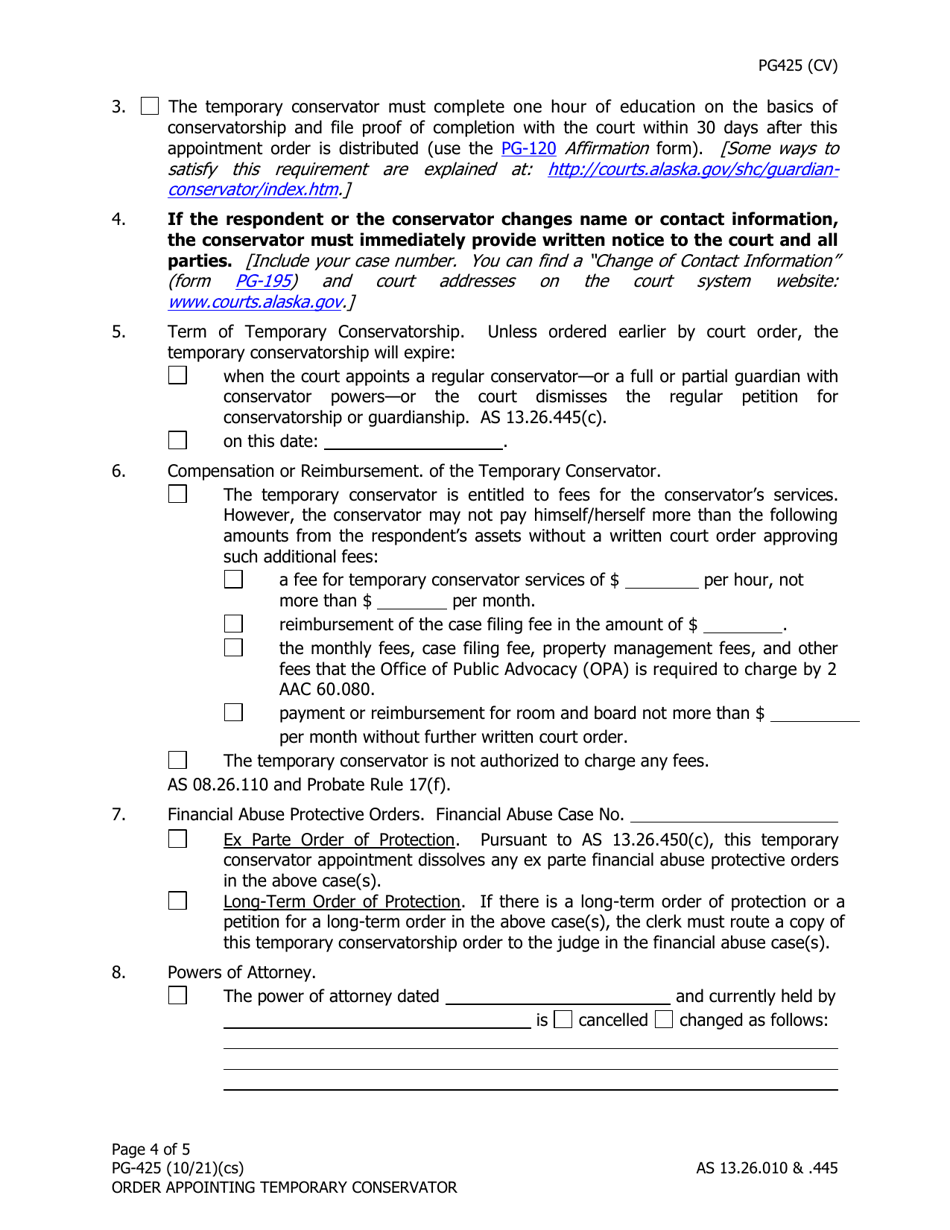
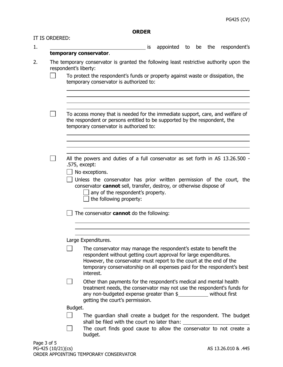
A: Form PG-425 is an order appointing a temporary conservator.

Q: What is the purpose of Form PG-425?
A: The purpose of Form PG-425 is to appoint a temporary conservator for an individual.

Q: Under what law is Form PG-425 used in Alaska?
A: Form PG-425 is used under AS 13.26.445 in Alaska.

Q: Who can file Form PG-425?
A: Form PG-425 can be filed by any interested party, such as a family member or friend.

Q: What does a temporary conservator do?
A: A temporary conservator is responsible for managing the affairs of an individual who is unable to do so themselves due to incapacity or other reasons.

Q: How long does the appointment of a temporary conservator last?
A: The appointment of a temporary conservator typically lasts until a permanent conservator is appointed or until it is no longer necessary.

Q: Can the appointment of a temporary conservator be contested?
A: Yes, the appointment of a temporary conservator can be contested by interested parties.

Q: Is legal representation required when filing Form PG-425?
A: Legal representation is not required, but it is recommended to seek legal advice when filing Form PG-425.

ADVERTISEMENT

Form Details:

  • Released on October 1, 2021;
  • The latest edition provided by the Alaska Superior Court;
  • Easy to use and ready to print;
  • Quick to customize;
  • Compatible with most PDF-viewing applications;
  • Fill out the form in our online filing application.

Download a printable version of Form PG-425 by clicking the link below or browse more documents and templates provided by the Alaska Superior Court.

Download Form PG-425 Order Appointing Temporary Conservator Under as 13.26.445 - Alaska

4.4 of 5 (14 votes)
  • Form PG-425 Order Appointing Temporary Conservator Under as 13.26.445 - Alaska

    1

  • Form PG-425 Order Appointing Temporary Conservator Under as 13.26.445 - Alaska, Page 2

    2

  • Form PG-425 Order Appointing Temporary Conservator Under as 13.26.445 - Alaska, Page 3

    3

  • Form PG-425 Order Appointing Temporary Conservator Under as 13.26.445 - Alaska, Page 4

    4

  • Form PG-425 Order Appointing Temporary Conservator Under as 13.26.445 - Alaska, Page 5

    5

  • Form PG-425 Order Appointing Temporary Conservator Under as 13.26.445 - Alaska, Page 1
  • Form PG-425 Order Appointing Temporary Conservator Under as 13.26.445 - Alaska, Page 2
  • Form PG-425 Order Appointing Temporary Conservator Under as 13.26.445 - Alaska, Page 3
  • Form PG-425 Order Appointing Temporary Conservator Under as 13.26.445 - Alaska, Page 4
  • Form PG-425 Order Appointing Temporary Conservator Under as 13.26.445 - Alaska, Page 5
Prev 1 2 3 4 5 Next
ADVERTISEMENT