Form ADJ025F Union Registration and Placement Questionnaire - Illinois

Form ADJ025F Union Registration and Placement Questionnaire - Illinois

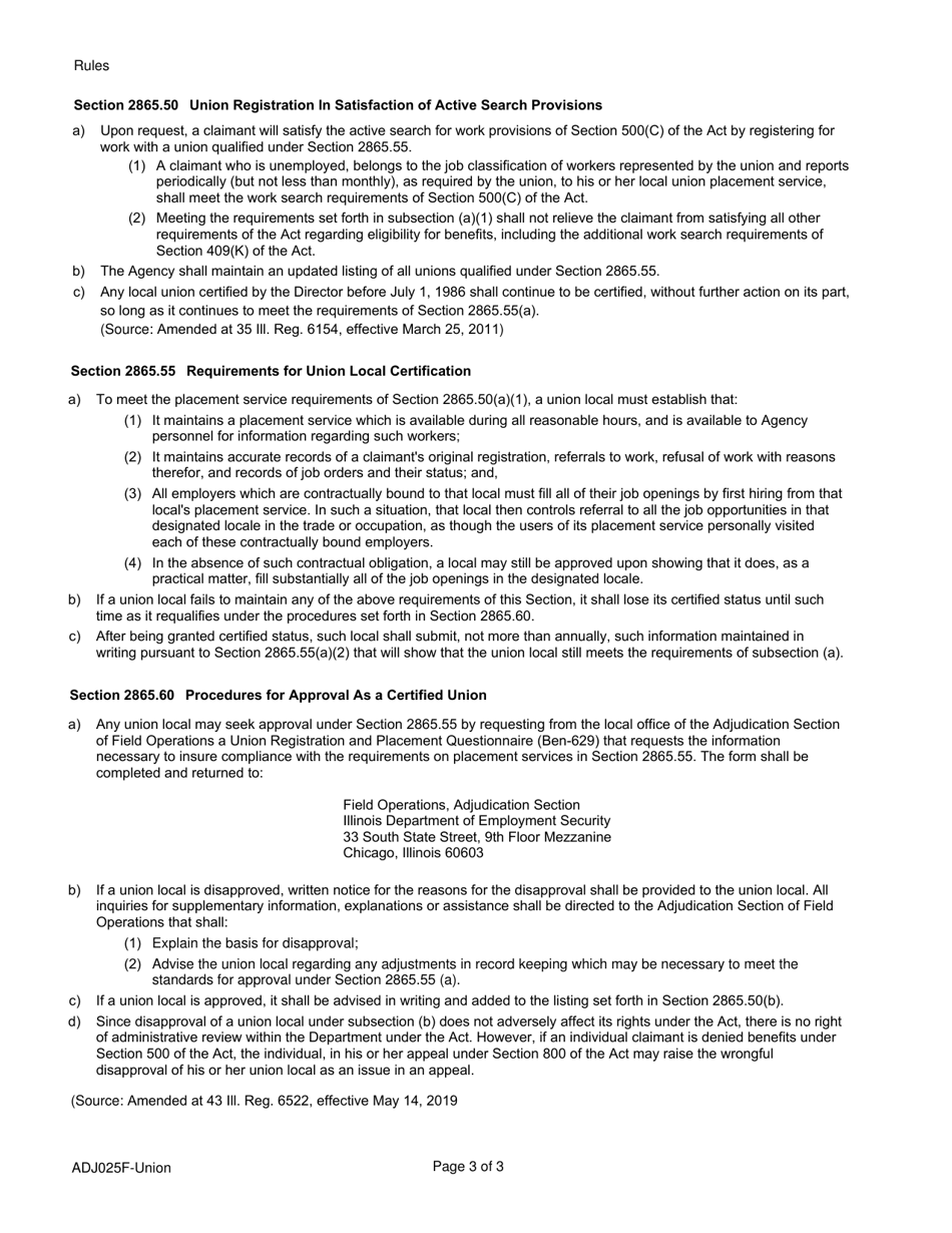
What Is Form ADJ025F?

This is a legal form that was released by the Illinois Department of Employment Security - a government authority operating within Illinois. As of today, no separate filing guidelines for the form are provided by the issuing department.

FAQ

Q: What is Form ADJ025F?
A: Form ADJ025F is a Union Registration and Placement Questionnaire.

Q: What is the purpose of Form ADJ025F?
A: The purpose of Form ADJ025F is to gather information about a union's registration and placement practices in Illinois.

Q: Who needs to fill out Form ADJ025F?
A: Unions in Illinois need to fill out Form ADJ025F.

Q: How do I fill out Form ADJ025F?
A: You need to provide the requested information on the form, including details about the union's registration and placement activities.

Q: Is Form ADJ025F mandatory?
A: Yes, Form ADJ025F is mandatory for unions in Illinois.

Q: What happens if I don't fill out Form ADJ025F?
A: Failure to submit Form ADJ025F may result in penalties or legal consequences.

Q: Are there any fees associated with Form ADJ025F?
A: There are no fees associated with Form ADJ025F.

ADVERTISEMENT

Form Details:

  • Released on September 1, 2019;
  • The latest edition provided by the Illinois Department of Employment Security;
  • Easy to use and ready to print;
  • Quick to customize;
  • Compatible with most PDF-viewing applications;
  • Fill out the form in our online filing application.

Download a fillable version of Form ADJ025F by clicking the link below or browse more documents and templates provided by the Illinois Department of Employment Security.

Download Form ADJ025F Union Registration and Placement Questionnaire - Illinois

4.7 of 5 (17 votes)
  • Form ADJ025F Union Registration and Placement Questionnaire - Illinois

    1

  • Form ADJ025F Union Registration and Placement Questionnaire - Illinois, Page 2

    2

  • Form ADJ025F Union Registration and Placement Questionnaire - Illinois, Page 3

    3

  • Form ADJ025F Union Registration and Placement Questionnaire - Illinois, Page 1
  • Form ADJ025F Union Registration and Placement Questionnaire - Illinois, Page 2
  • Form ADJ025F Union Registration and Placement Questionnaire - Illinois, Page 3
Prev 1 2 3 Next
ADVERTISEMENT