State Form 53686 Indiana Junket Operator Certificate of Registration Application - Indiana

State Form 53686 Indiana Junket Operator Certificate of Registration Application - Indiana

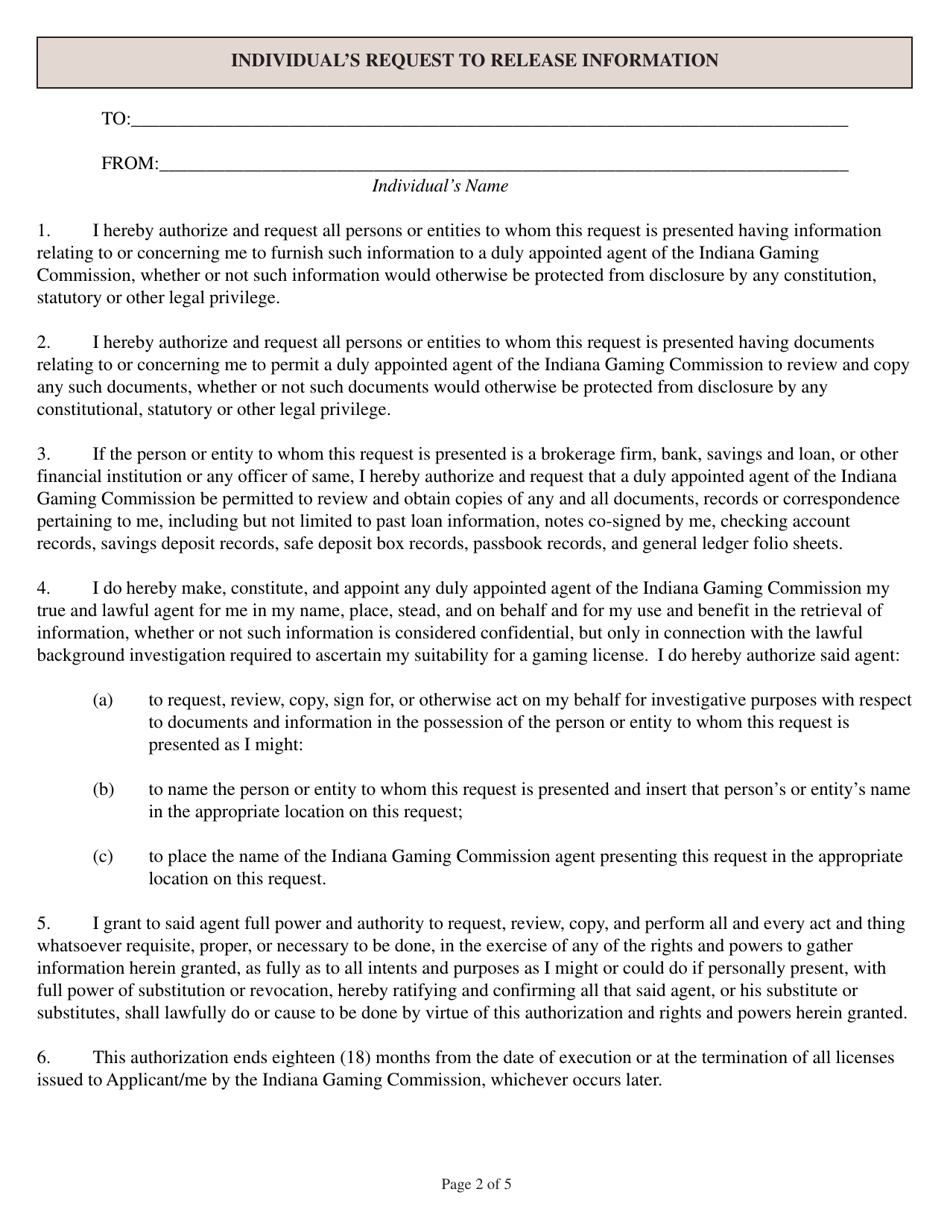
What Is State Form 53686?

This is a legal form that was released by the Indiana Gaming Commission - a government authority operating within Indiana. As of today, no separate filing guidelines for the form are provided by the issuing department.

FAQ

Q: What is Form 53686?
A: Form 53686 is the Indiana Junket Operator Certificate of Registration Application.

Q: Who needs to fill out Form 53686?
A: Indiana junket operators need to fill out Form 53686.

Q: What is a junket operator?
A: A junket operator is someone who organizes and promotes trips to casinos for groups of people.

Q: What is the purpose of Form 53686?
A: The purpose of Form 53686 is to apply for a junket operator certificate of registration in Indiana.

ADVERTISEMENT

Form Details:

  • Released on August 1, 2009;
  • The latest edition provided by the Indiana Gaming Commission;
  • Easy to use and ready to print;
  • Quick to customize;
  • Compatible with most PDF-viewing applications;
  • Fill out the form in our online filing application.

Download a fillable version of State Form 53686 by clicking the link below or browse more documents and templates provided by the Indiana Gaming Commission.

Download State Form 53686 Indiana Junket Operator Certificate of Registration Application - Indiana

4.4 of 5 (12 votes)
  • State Form 53686 Indiana Junket Operator Certificate of Registration Application - Indiana

    1

  • State Form 53686 Indiana Junket Operator Certificate of Registration Application - Indiana, Page 2

    2

  • State Form 53686 Indiana Junket Operator Certificate of Registration Application - Indiana, Page 3

    3

  • State Form 53686 Indiana Junket Operator Certificate of Registration Application - Indiana, Page 4

    4

  • State Form 53686 Indiana Junket Operator Certificate of Registration Application - Indiana, Page 5

    5

  • State Form 53686 Indiana Junket Operator Certificate of Registration Application - Indiana, Page 1
  • State Form 53686 Indiana Junket Operator Certificate of Registration Application - Indiana, Page 2
  • State Form 53686 Indiana Junket Operator Certificate of Registration Application - Indiana, Page 3
  • State Form 53686 Indiana Junket Operator Certificate of Registration Application - Indiana, Page 4
  • State Form 53686 Indiana Junket Operator Certificate of Registration Application - Indiana, Page 5
Prev 1 2 3 4 5 Next
ADVERTISEMENT

Related Documents