Complaint Information Form - Mississippi

Complaint Information Form - Mississippi

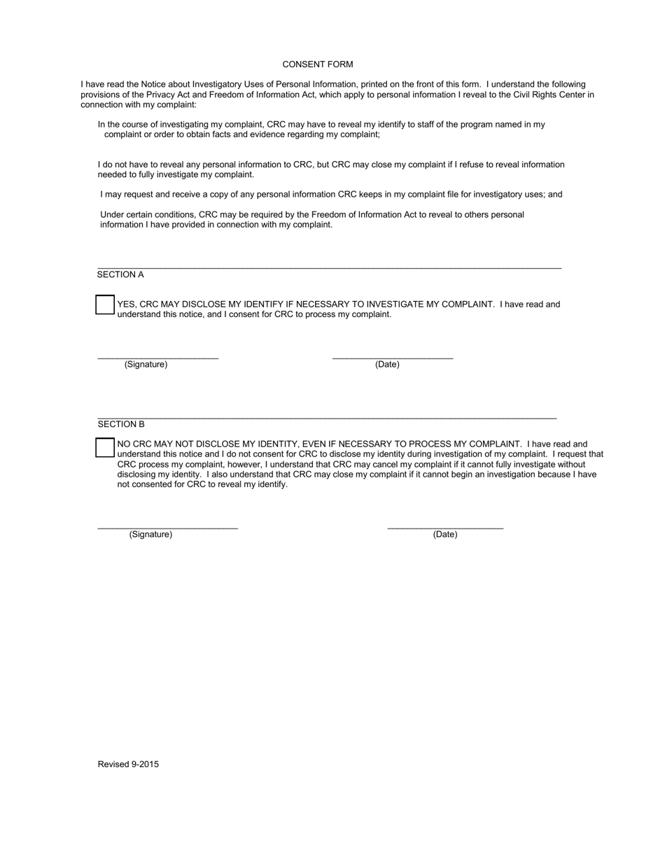
Complaint Information Form is a legal document that was released by the Mississippi Department of Employment Security - a government authority operating within Mississippi.

FAQ

Q: What is the purpose of the Complaint Information Form - Mississippi?
A: The form is used to submit complaints to the relevant authorities in Mississippi.

Q: Who can submit a complaint using the form?
A: Anyone who has a complaint related to a specific issue in Mississippi can submit a complaint.

Q: What information should I include in the form?
A: You should include details about the nature of your complaint, any supporting documents or evidence, and your contact information.

Q: Is there a deadline for submitting the form?
A: The form should be submitted as soon as possible after the incident or issue occurred, but there may not be a specific deadline mentioned in the form.

ADVERTISEMENT

Form Details:

  • Released on September 1, 2015;
  • The latest edition currently provided by the Mississippi Department of Employment Security;
  • Ready to use and print;
  • Easy to customize;
  • Compatible with most PDF-viewing applications;
  • Fill out the form in our online filing application.

Download a fillable version of the form by clicking the link below or browse more documents and templates provided by the Mississippi Department of Employment Security.

Download Complaint Information Form - Mississippi

4.6 of 5 (13 votes)
  • Complaint Information Form - Mississippi

    1

  • Complaint Information Form - Mississippi, Page 2

    2

  • Complaint Information Form - Mississippi, Page 3

    3

  • Complaint Information Form - Mississippi, Page 4

    4

  • Complaint Information Form - Mississippi, Page 5

    5

  • Complaint Information Form - Mississippi, Page 6

    6

  • Complaint Information Form - Mississippi, Page 1
  • Complaint Information Form - Mississippi, Page 2
  • Complaint Information Form - Mississippi, Page 3
  • Complaint Information Form - Mississippi, Page 4
  • Complaint Information Form - Mississippi, Page 5
  • Complaint Information Form - Mississippi, Page 6
Prev 1 2 3 4 5 6 Next
ADVERTISEMENT