Application for Extension of Time for Filing Proof of Beneficial Use - Stockwatering or Wildlife - Nevada

Application for Extension of Time for Filing Proof of Beneficial Use - Stockwatering or Wildlife - Nevada

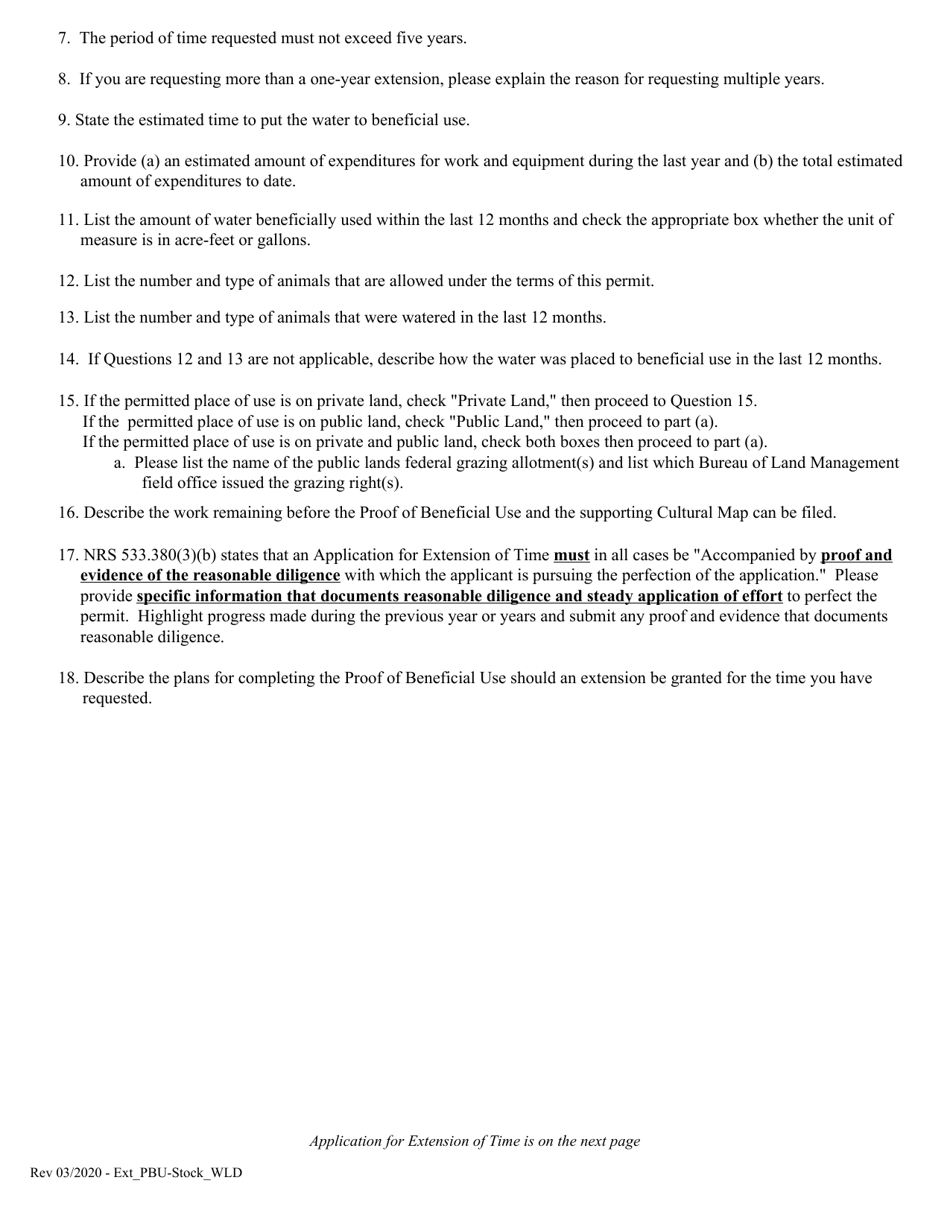
Application for Extension of Time for Filing Proof of Beneficial Use - Stockwatering or Wildlife is a legal document that was released by the Nevada Department of Conservation and Natural Resources - a government authority operating within Nevada.

FAQ

Q: What is an Extension of Time for Filing Proof of Beneficial Use?
A: An Extension of Time for Filing Proof of Beneficial Use is a request for additional time to submit evidence of beneficial use for a stockwatering or wildlife water right in Nevada.

Q: Who needs to file an Extension of Time for Filing Proof of Beneficial Use?
A: Anyone who holds a stockwatering or wildlife water right in Nevada and needs more time to provide evidence of beneficial use.

Q: Why would someone file an Extension of Time for Filing Proof of Beneficial Use?
A: Someone may file an Extension of Time if they are unable to gather the necessary evidence of beneficial use within the original filing deadline.

Q: How do I apply for an Extension of Time for Filing Proof of Beneficial Use?
A: You can apply for an Extension of Time by submitting a completed application form to the appropriate government agency in Nevada.

Q: Is there a fee for filing an Extension of Time for Filing Proof of Beneficial Use?
A: Yes, there is usually a fee associated with the filing of an Extension of Time application.

Q: What happens if my Extension of Time for Filing Proof of Beneficial Use is approved?
A: If your Extension of Time is approved, you will be given additional time to submit the required evidence of beneficial use.

Q: What happens if my Extension of Time for Filing Proof of Beneficial Use is denied?
A: If your Extension of Time is denied, you may be required to submit the evidence of beneficial use by the original deadline or risk losing your water right.

ADVERTISEMENT

Form Details:

  • Released on March 1, 2020;
  • The latest edition currently provided by the Nevada Department of Conservation and Natural Resources;
  • Ready to use and print;
  • Easy to customize;
  • Compatible with most PDF-viewing applications;
  • Fill out the form in our online filing application.

Download a fillable version of the form by clicking the link below or browse more documents and templates provided by the Nevada Department of Conservation and Natural Resources.

Download Application for Extension of Time for Filing Proof of Beneficial Use - Stockwatering or Wildlife - Nevada

4.3 of 5 (9 votes)
  • Application for Extension of Time for Filing Proof of Beneficial Use - Stockwatering or Wildlife - Nevada

    1

  • Application for Extension of Time for Filing Proof of Beneficial Use - Stockwatering or Wildlife - Nevada, Page 2

    2

  • Application for Extension of Time for Filing Proof of Beneficial Use - Stockwatering or Wildlife - Nevada, Page 3

    3

  • Application for Extension of Time for Filing Proof of Beneficial Use - Stockwatering or Wildlife - Nevada, Page 4

    4

  • Application for Extension of Time for Filing Proof of Beneficial Use - Stockwatering or Wildlife - Nevada, Page 1
  • Application for Extension of Time for Filing Proof of Beneficial Use - Stockwatering or Wildlife - Nevada, Page 2
  • Application for Extension of Time for Filing Proof of Beneficial Use - Stockwatering or Wildlife - Nevada, Page 3
  • Application for Extension of Time for Filing Proof of Beneficial Use - Stockwatering or Wildlife - Nevada, Page 4
Prev 1 2 3 4 Next
ADVERTISEMENT

Related Documents