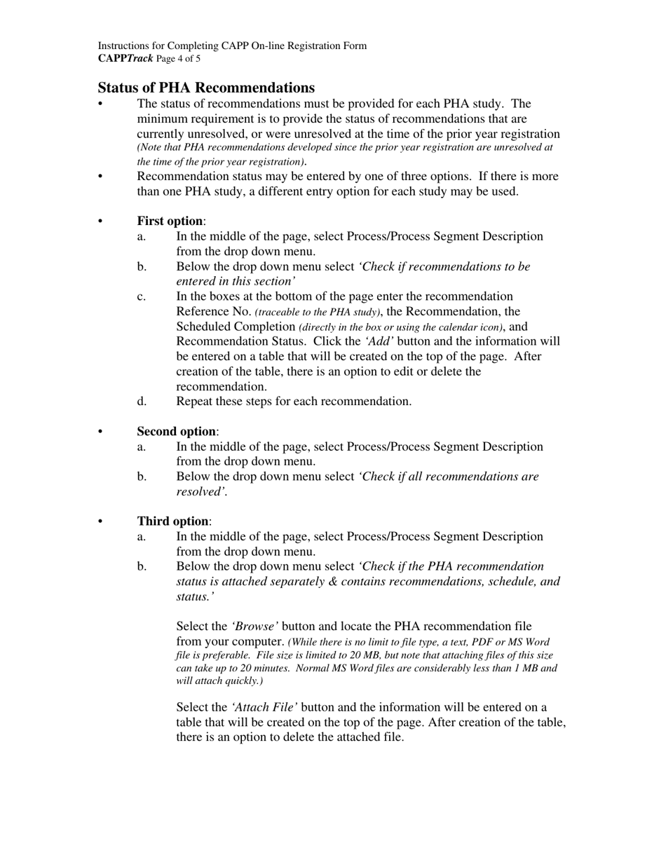
Instructions for Completing Capp on-Line Registration Form (Capptrack) - Nevada

Instructions for Completing Capp on-Line Registration Form (Capptrack) - Nevada

Instructions for Completing Capp on-Line Registration Form (Capptrack) is a legal document that was released by the Nevada Department of Conservation and Natural Resources - a government authority operating within Nevada.

FAQ

Q: Why do I need to complete the Capp on-Line Registration Form?
A: You need to complete the Capp on-Line Registration Form to register for certain services in Nevada.

Q: Are there any fees for completing the Capp on-Line Registration Form?
A: There may be fees associated with the services you are registering for, but completing the form itself does not have a fee.

Q: What information do I need to provide on the Capp on-Line Registration Form?
A: You will need to provide personal information such as your name, address, and contact details.

Q: Can I save my progress and come back to complete the Capp on-Line Registration Form later?
A: Yes, you can save your progress and come back to complete the form at a later time.

Q: What do I do if I encounter any issues or have questions while completing the Capp on-Line Registration Form?
A: If you encounter any issues or have questions, you can contact the Nevada government's helpline or customer support for assistance.

ADVERTISEMENT

Form Details:

  • The latest edition currently provided by the Nevada Department of Conservation and Natural Resources;
  • Ready to use and print;
  • Easy to customize;
  • Compatible with most PDF-viewing applications;
  • Fill out the form in our online filing application.

Download a printable version of the form by clicking the link below or browse more documents and templates provided by the Nevada Department of Conservation and Natural Resources.

Download Instructions for Completing Capp on-Line Registration Form (Capptrack) - Nevada

4.3 of 5 (30 votes)
  • Instructions for Completing Capp on-Line Registration Form (Capptrack) - Nevada

    1

  • Instructions for Completing Capp on-Line Registration Form (Capptrack) - Nevada, Page 2

    2

  • Instructions for Completing Capp on-Line Registration Form (Capptrack) - Nevada, Page 3

    3

  • Instructions for Completing Capp on-Line Registration Form (Capptrack) - Nevada, Page 4

    4

  • Instructions for Completing Capp on-Line Registration Form (Capptrack) - Nevada, Page 5

    5

  • Instructions for Completing Capp on-Line Registration Form (Capptrack) - Nevada, Page 1
  • Instructions for Completing Capp on-Line Registration Form (Capptrack) - Nevada, Page 2
  • Instructions for Completing Capp on-Line Registration Form (Capptrack) - Nevada, Page 3
  • Instructions for Completing Capp on-Line Registration Form (Capptrack) - Nevada, Page 4
  • Instructions for Completing Capp on-Line Registration Form (Capptrack) - Nevada, Page 5
Prev 1 2 3 4 5 Next
ADVERTISEMENT

Related Documents