Application for Reinstatement of a Rprs Registration Following Revocation or Suspension - Virginia

Application for Reinstatement of a Rprs Registration Following Revocation or Suspension - Virginia

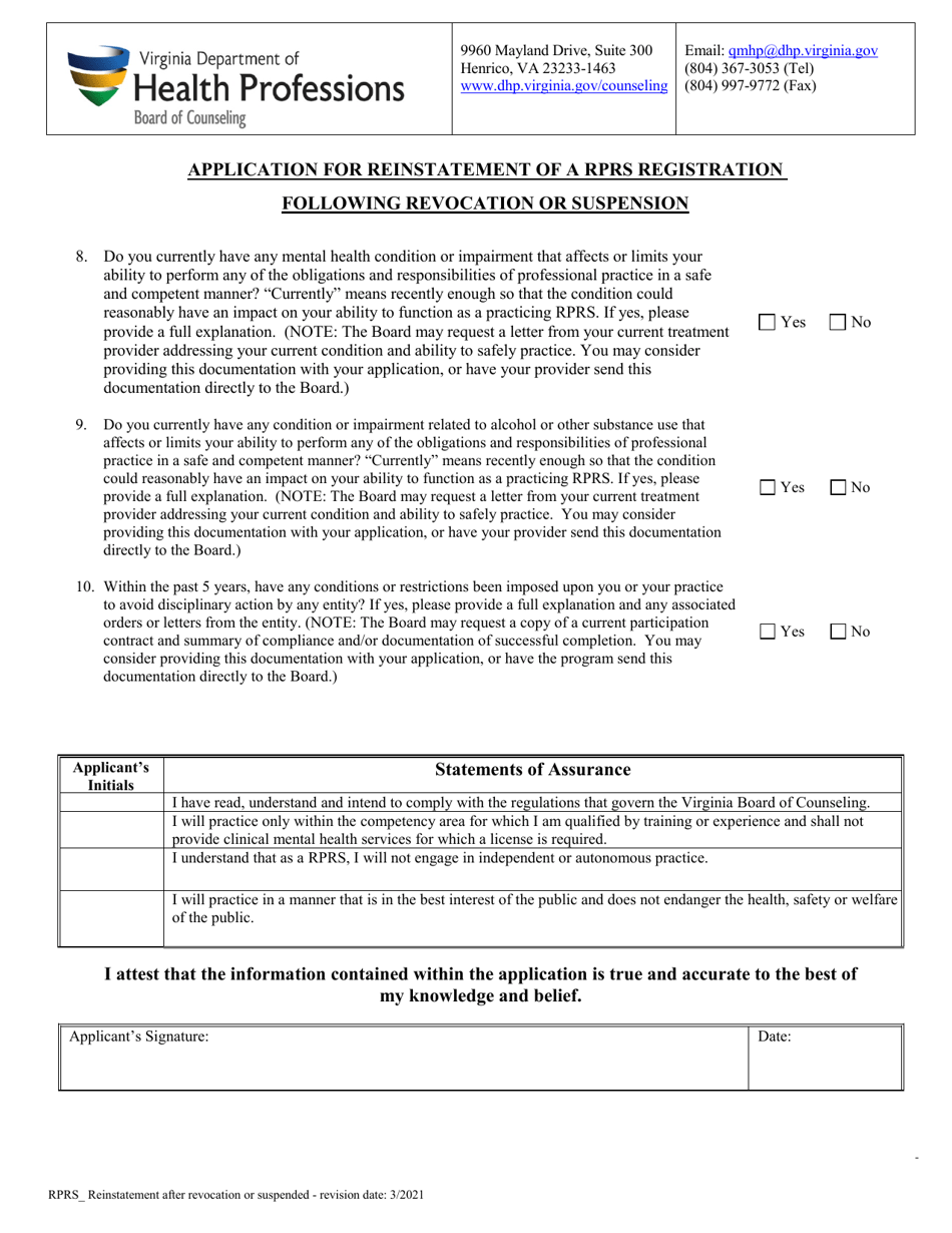
Application for Reinstatement of a Rprs Registration Following Revocation or Suspension is a legal document that was released by the Virginia Department of Health Professions - a government authority operating within Virginia.

FAQ

Q: What is the application for reinstatement of a RPRS registration following revocation or suspension in Virginia?
A: This is an application form that allows individuals to apply for the reinstatement of their RPRS registration after it has been revoked or suspended.

Q: When do I need to use this application?
A: You need to use this application when your RPRS registration in Virginia has been revoked or suspended and you want to apply for reinstatement.

Q: What does RPRS stand for?
A: RPRS stands for Registered Public Reporting Services.

Q: How can my RPRS registration be suspended or revoked?
A: Your RPRS registration in Virginia can be suspended or revoked for various reasons such as non-compliance with regulations or failure to meet reporting requirements.

Q: What documents do I need to include with my application?
A: You will need to include a completed application form, any required supporting documentation, and any applicable fees.

Q: How long does it take for the application to be processed?
A: The processing time for the application varies, but it is typically several weeks. You should contact the Virginia state agency for more specific information.

Q: Is there a fee for the reinstatement application?
A: Yes, there is usually a fee associated with the reinstatement application. The amount may vary, so you should check with the Virginia state agency for the current fee schedule.

Q: Can I appeal if my application is denied?
A: Yes, you can typically appeal a denial of your reinstatement application. You should follow the appeals process outlined by the Virginia state agency.

Q: Are there any additional requirements for reinstatement?
A: Yes, in addition to submitting the application and fee, you may need to meet certain requirements or conditions imposed by the state agency as part of the reinstatement process.

ADVERTISEMENT

Form Details:

  • Released on March 1, 2021;
  • The latest edition currently provided by the Virginia Department of Health Professions;
  • Ready to use and print;
  • Easy to customize;
  • Compatible with most PDF-viewing applications;
  • Fill out the form in our online filing application.

Download a printable version of the form by clicking the link below or browse more documents and templates provided by the Virginia Department of Health Professions.

Download Application for Reinstatement of a Rprs Registration Following Revocation or Suspension - Virginia

4.4 of 5 (9 votes)
  • Application for Reinstatement of a Rprs Registration Following Revocation or Suspension - Virginia

    1

  • Application for Reinstatement of a Rprs Registration Following Revocation or Suspension - Virginia, Page 2

    2

  • Application for Reinstatement of a Rprs Registration Following Revocation or Suspension - Virginia, Page 3

    3

  • Application for Reinstatement of a Rprs Registration Following Revocation or Suspension - Virginia, Page 4

    4

  • Application for Reinstatement of a Rprs Registration Following Revocation or Suspension - Virginia, Page 1
  • Application for Reinstatement of a Rprs Registration Following Revocation or Suspension - Virginia, Page 2
  • Application for Reinstatement of a Rprs Registration Following Revocation or Suspension - Virginia, Page 3
  • Application for Reinstatement of a Rprs Registration Following Revocation or Suspension - Virginia, Page 4
Prev 1 2 3 4 Next
ADVERTISEMENT

Related Documents