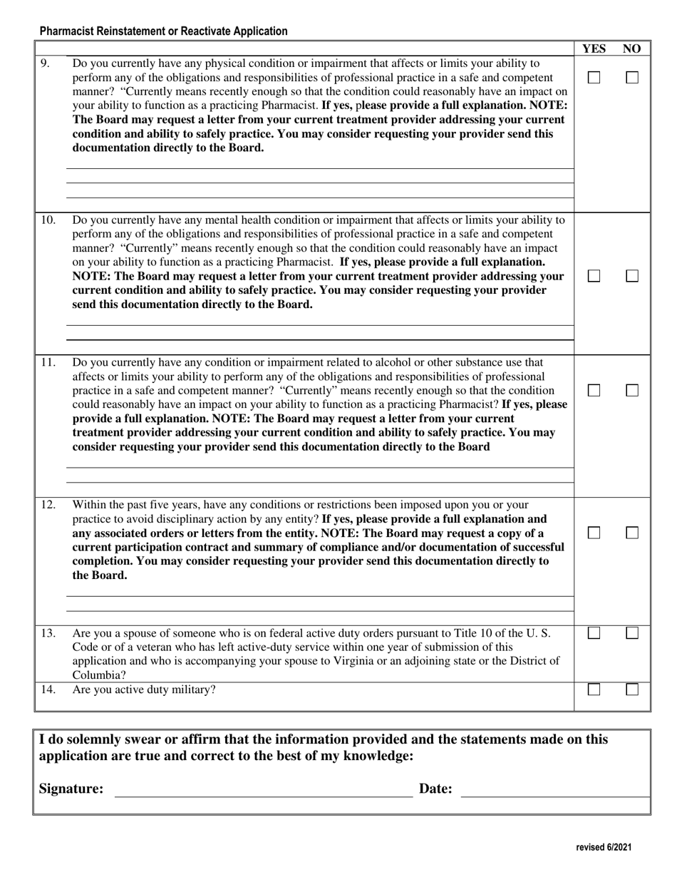
Application to Reinstate or Reactivate a Pharmacist License - Virginia

Notification Icon This version of the form is not currently in use and is provided for reference only. Download this version of the document for the current year.

Application to Reinstate or Reactivate a Pharmacist License - Virginia

Application to Reinstate or Reactivate a Pharmacist License is a legal document that was released by the Virginia Department of Health Professions - a government authority operating within Virginia.

FAQ

Q: What is the application for?
A: The application is for reinstating or reactivating a pharmacist license in the state of Virginia.

Q: Who can apply for reinstatement or reactivation?
A: Pharmacists who previously held a license in Virginia but let it expire or become inactive can apply.

Q: How can I apply for reinstatement or reactivation?
A: You can apply by submitting the application and required documents to the Virginia Board of Pharmacy.

Q: What documents do I need to submit with the application?
A: You will need to submit a completed application form, proof of completion of continuing education requirements, and any additional documentation requested by the Board.

Q: What is the processing time for the application?
A: The processing time for the application can vary. It is recommended to submit the application well in advance of the desired reinstatement or reactivation date.

Q: Are there any additional requirements for reinstatement or reactivation?
A: Yes, you may be required to provide evidence of competency to practice pharmacy if your license has been expired or inactive for an extended period of time.

Q: Can I still practice as a pharmacist while my application is being processed?
A: No, you cannot practice as a pharmacist until your license has been reinstated or reactivated by the Virginia Board of Pharmacy.

Q: What should I do if my application is denied?
A: If your application is denied, you may have the opportunity to appeal the decision or reapply with additional documentation or information as requested by the Board.

ADVERTISEMENT

Form Details:

  • Released on June 1, 2021;
  • The latest edition currently provided by the Virginia Department of Health Professions;
  • Ready to use and print;
  • Easy to customize;
  • Compatible with most PDF-viewing applications;
  • Fill out the form in our online filing application.

Download a printable version of the form by clicking the link below or browse more documents and templates provided by the Virginia Department of Health Professions.

Download Application to Reinstate or Reactivate a Pharmacist License - Virginia

4.4 of 5 (12 votes)
  • Application to Reinstate or Reactivate a Pharmacist License - Virginia

    1

  • Application to Reinstate or Reactivate a Pharmacist License - Virginia, Page 2

    2

  • Application to Reinstate or Reactivate a Pharmacist License - Virginia, Page 3

    3

  • Application to Reinstate or Reactivate a Pharmacist License - Virginia, Page 4

    4

  • Application to Reinstate or Reactivate a Pharmacist License - Virginia, Page 1
  • Application to Reinstate or Reactivate a Pharmacist License - Virginia, Page 2
  • Application to Reinstate or Reactivate a Pharmacist License - Virginia, Page 3
  • Application to Reinstate or Reactivate a Pharmacist License - Virginia, Page 4
Prev 1 2 3 4 Next
ADVERTISEMENT

Related Documents