Subpart Part B Hazardous Waste Permit Application - Tanks, Containers and Surface Impoundments - West Virginia

Subpart Part B Hazardous Waste Permit Application - Tanks, Containers and Surface Impoundments - West Virginia

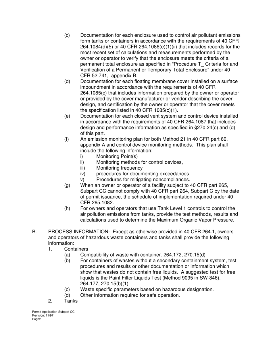
What Is Subpart СС?

This is a legal form that was released by the West Virginia Department of Environmental Protection - a government authority operating within West Virginia. As of today, no separate filing guidelines for the form are provided by the issuing department.

FAQ

Q: What is the purpose of a hazardous waste permit application?
A: The purpose of a hazardous waste permit application is to obtain a permit for managing and storing hazardous waste.

Q: What does Part B of the hazardous waste permit application pertain to?
A: Part B of the hazardous waste permit application pertains to tanks, containers, and surface impoundments.

Q: What is a tank in the context of hazardous waste management?
A: In the context of hazardous waste management, a tank refers to a stationary device designed to contain an accumulation of hazardous waste.

Q: What is a container in the context of hazardous waste management?
A: In the context of hazardous waste management, a container refers to any portable device used to store, transport, or handle hazardous waste.

Q: What is a surface impoundment in the context of hazardous waste management?
A: In the context of hazardous waste management, a surface impoundment refers to a natural or excavated depression, or a diked area, designed to hold an accumulation of liquid hazardous waste.

ADVERTISEMENT

Form Details:

  • Released on November 1, 1997;
  • The latest edition provided by the West Virginia Department of Environmental Protection;
  • Easy to use and ready to print;
  • Quick to customize;
  • Compatible with most PDF-viewing applications;
  • Fill out the form in our online filing application.

Download a printable version of Subpart СС by clicking the link below or browse more documents and templates provided by the West Virginia Department of Environmental Protection.

Download Subpart Part B Hazardous Waste Permit Application - Tanks, Containers and Surface Impoundments - West Virginia

4.4 of 5 (10 votes)
  • Subpart Part B Hazardous Waste Permit Application - Tanks, Containers and Surface Impoundments - West Virginia

    1

  • Subpart Part B Hazardous Waste Permit Application - Tanks, Containers and Surface Impoundments - West Virginia, Page 2

    2

  • Subpart Part B Hazardous Waste Permit Application - Tanks, Containers and Surface Impoundments - West Virginia, Page 3

    3

  • Subpart Part B Hazardous Waste Permit Application - Tanks, Containers and Surface Impoundments - West Virginia, Page 4

    4

  • Subpart Part B Hazardous Waste Permit Application - Tanks, Containers and Surface Impoundments - West Virginia, Page 5

    5

  • Subpart Part B Hazardous Waste Permit Application - Tanks, Containers and Surface Impoundments - West Virginia, Page 6

    6

  • Subpart Part B Hazardous Waste Permit Application - Tanks, Containers and Surface Impoundments - West Virginia, Page 7

    7

  • Subpart Part B Hazardous Waste Permit Application - Tanks, Containers and Surface Impoundments - West Virginia, Page 1
  • Subpart Part B Hazardous Waste Permit Application - Tanks, Containers and Surface Impoundments - West Virginia, Page 2
  • Subpart Part B Hazardous Waste Permit Application - Tanks, Containers and Surface Impoundments - West Virginia, Page 3
  • Subpart Part B Hazardous Waste Permit Application - Tanks, Containers and Surface Impoundments - West Virginia, Page 4
  • Subpart Part B Hazardous Waste Permit Application - Tanks, Containers and Surface Impoundments - West Virginia, Page 5
  • Subpart Part B Hazardous Waste Permit Application - Tanks, Containers and Surface Impoundments - West Virginia, Page 6
  • Subpart Part B Hazardous Waste Permit Application - Tanks, Containers and Surface Impoundments - West Virginia, Page 7
Prev 1 2 3 4 5 ... 7 Next
ADVERTISEMENT