Official Form P-6 Candidate's Declaration of Inability to Pay Filing Fee Oath or Affirmation - West Virginia

Official Form P-6 Candidate's Declaration of Inability to Pay Filing Fee Oath or Affirmation - West Virginia

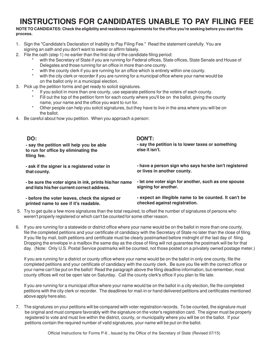
What Is Official Form P-6?

This is a legal form that was released by the West Virginia Secretary of State - a government authority operating within West Virginia. As of today, no separate filing guidelines for the form are provided by the issuing department.

FAQ

Q: What is Form P-6?
A: Form P-6 is the Candidate's Declaration of Inability to Pay Filing Fee Oath or Affirmation in West Virginia.

Q: What is the purpose of Form P-6?
A: The purpose of Form P-6 is for a candidate to declare their inability to pay the filing fee for a political office.

Q: Who is required to fill out Form P-6?
A: Candidates who are unable to pay the filing fee for a political office in West Virginia are required to fill out Form P-6.

Q: What information is required on Form P-6?
A: Form P-6 requires the candidate's name, political office sought, and a statement of their inability to pay the filing fee.

Q: Is there a deadline for submitting Form P-6?
A: Yes, Form P-6 must be submitted at the same time as the candidate's other filing documents.

Q: Can a candidate still run for office if they cannot pay the filing fee?
A: Yes, candidates who are unable to pay the filing fee can still run for office by submitting Form P-6.

Q: What happens after submitting Form P-6?
A: After submitting Form P-6, the candidate's inability to pay the filing fee will be considered by the appropriate authorities.

Q: Are there any consequences for making false statements on Form P-6?
A: Yes, making false statements on Form P-6 may result in legal consequences.

ADVERTISEMENT

Form Details:

  • Released on July 1, 2015;
  • The latest edition provided by the West Virginia Secretary of State;
  • Easy to use and ready to print;
  • Quick to customize;
  • Compatible with most PDF-viewing applications;
  • Fill out the form in our online filing application.

Download a printable version of Official Form P-6 by clicking the link below or browse more documents and templates provided by the West Virginia Secretary of State.

Download Official Form P-6 Candidate's Declaration of Inability to Pay Filing Fee Oath or Affirmation - West Virginia

4.5 of 5 (22 votes)
  • Official Form P-6 Candidate's Declaration of Inability to Pay Filing Fee Oath or Affirmation - West Virginia

    1

  • Official Form P-6 Candidate's Declaration of Inability to Pay Filing Fee Oath or Affirmation - West Virginia, Page 2

    2

  • Official Form P-6 Candidates Declaration of Inability to Pay Filing Fee Oath or Affirmation - West Virginia, Page 1
  • Official Form P-6 Candidates Declaration of Inability to Pay Filing Fee Oath or Affirmation - West Virginia, Page 2
Prev 1 2 Next
ADVERTISEMENT