Form WV-65A Direct Award Posting: Justification and Public Notice Form (Delegated Procurements $2,500.01 to $25,000) - West Virginia

Notification Icon This version of the form is not currently in use and is provided for reference only. Download this version of Form WV-65A for the current year.

Form WV-65A Direct Award Posting: Justification and Public Notice Form (Delegated Procurements $2,500.01 to $25,000) - West Virginia

What Is Form WV-65A?

This is a legal form that was released by the West Virginia Department of Administration - Purchasing Division - a government authority operating within West Virginia. As of today, no separate filing guidelines for the form are provided by the issuing department.

FAQ

Q: What is the Form WV-65A?
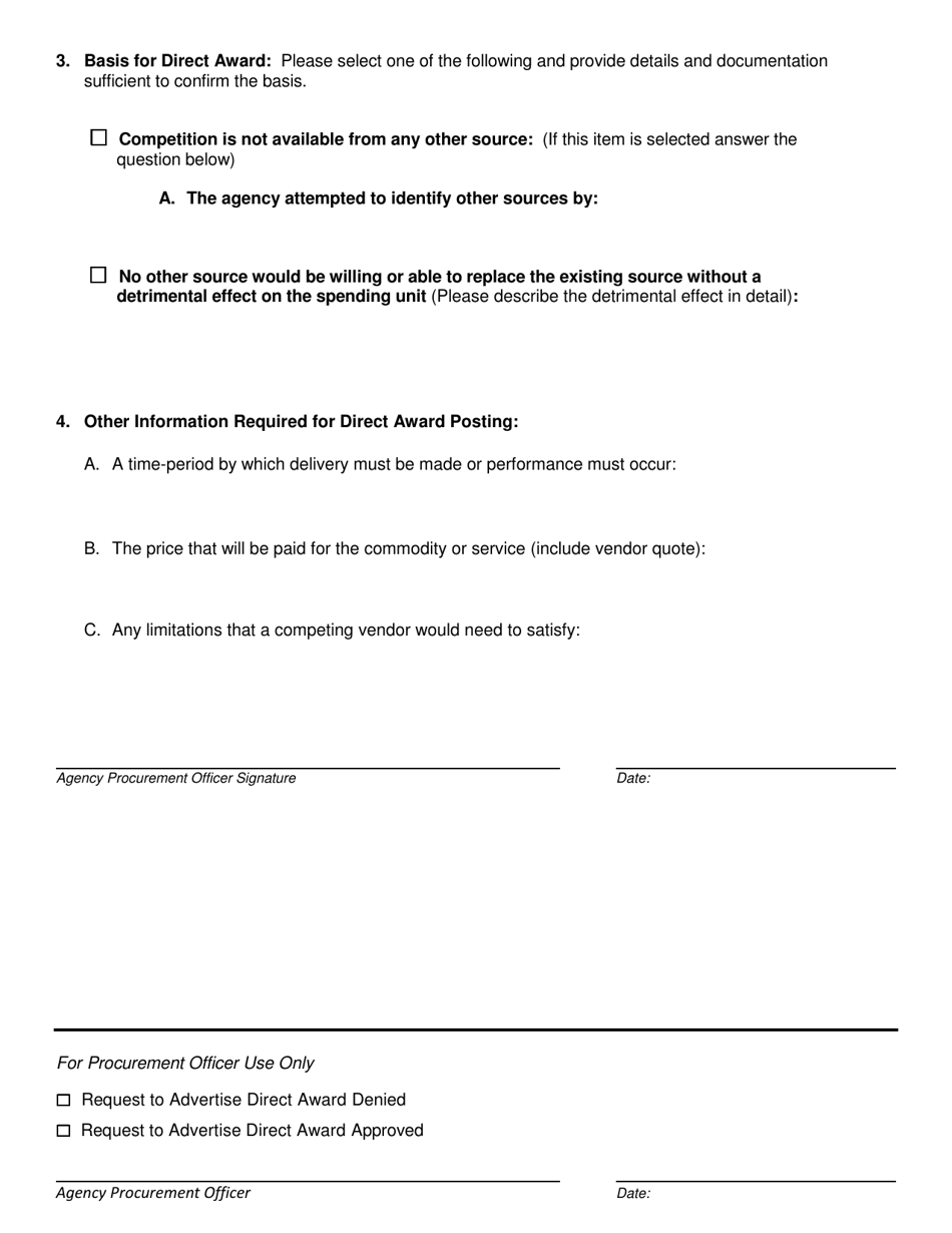
A: Form WV-65A is a Justification and Public Notice Form used for delegated procurements in West Virginia with a value between $2,500.01 and $25,000.

Q: What is the purpose of Form WV-65A?
A: The purpose of Form WV-65A is to justify and provide public notice for delegated procurements in West Virginia within the specified value range.

Q: What is a delegated procurement?
A: A delegated procurement refers to the process of awarding contracts within a specific value range without the need for a competitive bidding process.

Q: What is the value range for delegated procurements using Form WV-65A?
A: Form WV-65A is used for delegated procurements in West Virginia with a value between $2,500.01 and $25,000.

Q: Why is public notice required for delegated procurements?
A: Public notice is required for delegated procurements to ensure transparency, provide an opportunity for potential vendors to submit bids, and foster fair competition.

ADVERTISEMENT

Form Details:

  • Released on June 8, 2018;
  • The latest edition provided by the West Virginia Department of Administration - Purchasing Division;
  • Easy to use and ready to print;
  • Quick to customize;
  • Compatible with most PDF-viewing applications;
  • Fill out the form in our online filing application.

Download a fillable version of Form WV-65A by clicking the link below or browse more documents and templates provided by the West Virginia Department of Administration - Purchasing Division.

Download Form WV-65A Direct Award Posting: Justification and Public Notice Form (Delegated Procurements $2,500.01 to $25,000) - West Virginia

4.5 of 5 (28 votes)
  • Form WV-65A Direct Award Posting: Justification and Public Notice Form (Delegated Procurements $2,500.01 to $25,000) - West Virginia

    1

  • Form WV-65A Direct Award Posting: Justification and Public Notice Form (Delegated Procurements $2,500.01 to $25,000) - West Virginia, Page 2

    2

  • Form WV-65A Direct Award Posting: Justification and Public Notice Form (Delegated Procurements $2,500.01 to $25,000) - West Virginia, Page 1
  • Form WV-65A Direct Award Posting: Justification and Public Notice Form (Delegated Procurements $2,500.01 to $25,000) - West Virginia, Page 2
Prev 1 2 Next
ADVERTISEMENT