Affirmation of Tribal Consultation - Wyoming

Affirmation of Tribal Consultation - Wyoming

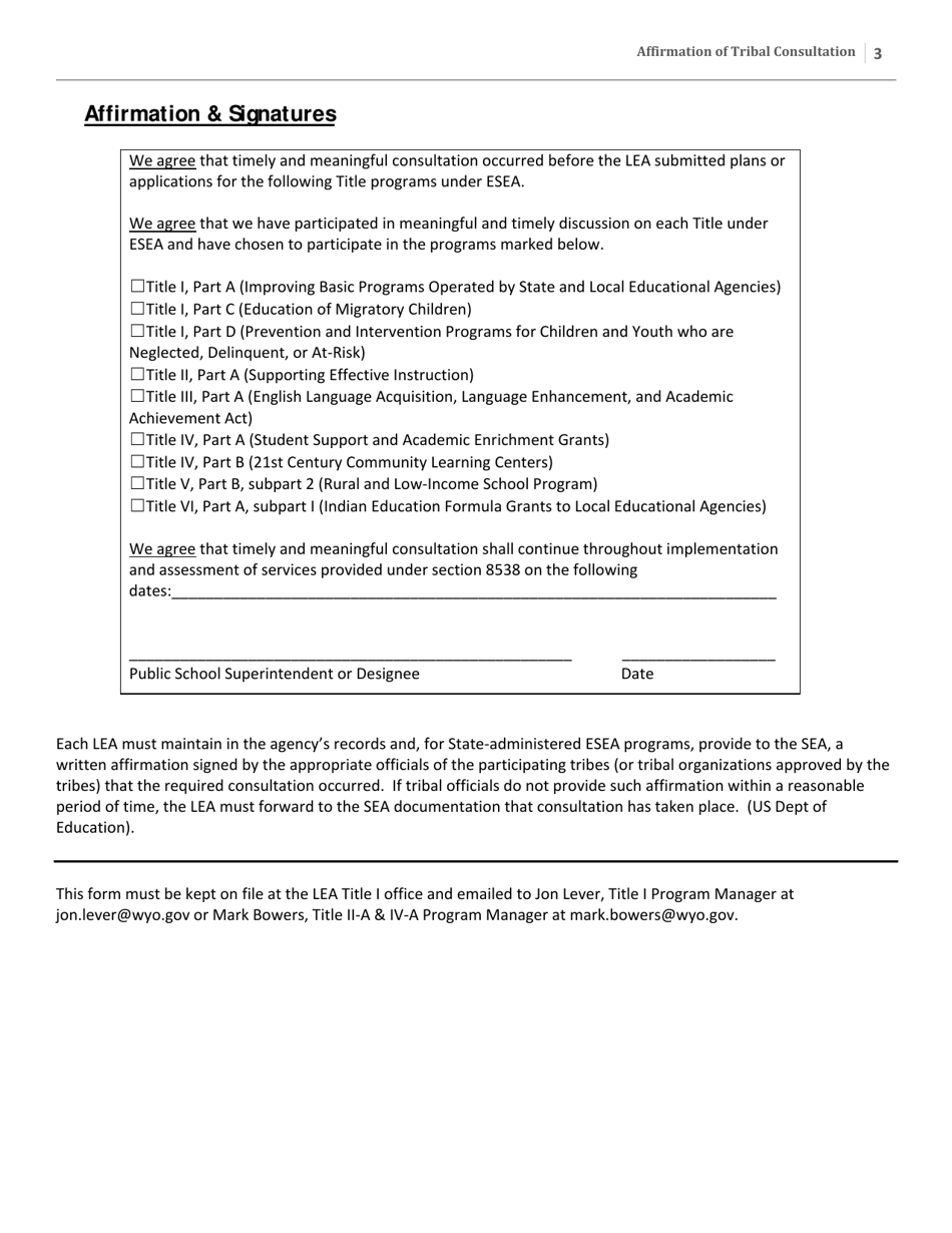
Affirmation of Tribal Consultation is a legal document that was released by the Wyoming Department of Education - a government authority operating within Wyoming.

FAQ

Q: What is the Affirmation of Tribal Consultation in Wyoming?
A: The Affirmation of Tribal Consultation in Wyoming is a commitment by the state government to consult and work with tribal governments on issues affecting Native American tribes.

Q: Why is the Affirmation of Tribal Consultation important?
A: The Affirmation of Tribal Consultation is important because it promotes collaboration and understanding between the state government and tribal governments, ensuring that the voices and needs of Native American tribes are taken into account in decision-making processes.

Q: Which tribes does the Affirmation of Tribal Consultation apply to?
A: The Affirmation of Tribal Consultation applies to all federally recognized tribes in Wyoming, including the Eastern Shoshone Tribe, the Northern Arapaho Tribe, and others.

Q: What does the Affirmation of Tribal Consultation cover?
A: The Affirmation of Tribal Consultation covers a wide range of issues, including natural resource management, education, economic development, healthcare, and cultural preservation.

Q: How is the Affirmation of Tribal Consultation implemented?
A: The Affirmation of Tribal Consultation is implemented through regular meetings and consultations between state government officials and tribal leaders, as well as by incorporating tribal perspectives and input into relevant policies and decisions.

ADVERTISEMENT

Form Details:

  • The latest edition currently provided by the Wyoming Department of Education;
  • Ready to use and print;
  • Easy to customize;
  • Compatible with most PDF-viewing applications;
  • Fill out the form in our online filing application.

Download a printable version of the form by clicking the link below or browse more documents and templates provided by the Wyoming Department of Education.

Download Affirmation of Tribal Consultation - Wyoming

4.7 of 5 (22 votes)
  • Affirmation of Tribal Consultation - Wyoming

    1

  • Affirmation of Tribal Consultation - Wyoming, Page 2

    2

  • Affirmation of Tribal Consultation - Wyoming, Page 3

    3

  • Affirmation of Tribal Consultation - Wyoming, Page 1
  • Affirmation of Tribal Consultation - Wyoming, Page 2
  • Affirmation of Tribal Consultation - Wyoming, Page 3
Prev 1 2 3 Next
ADVERTISEMENT

Related Documents