Order Setting Divorce Trial and Requiring Pretrial Statements - Wyoming

Notification Icon This version of the form is not currently in use and is provided for reference only. Download this version of the document for the current year.

Order Setting Divorce Trial and Requiring Pretrial Statements - Wyoming

Order Setting Divorce Trial and Requiring Pretrial Statements is a legal document that was released by the Wyoming District Court - a government authority operating within Wyoming.

FAQ

Q: What is the Order Setting Divorce Trial?
A: The Order Setting Divorce Trial is a legal document that sets a date for the divorce trial to take place in Wyoming.

Q: What does the Order require?
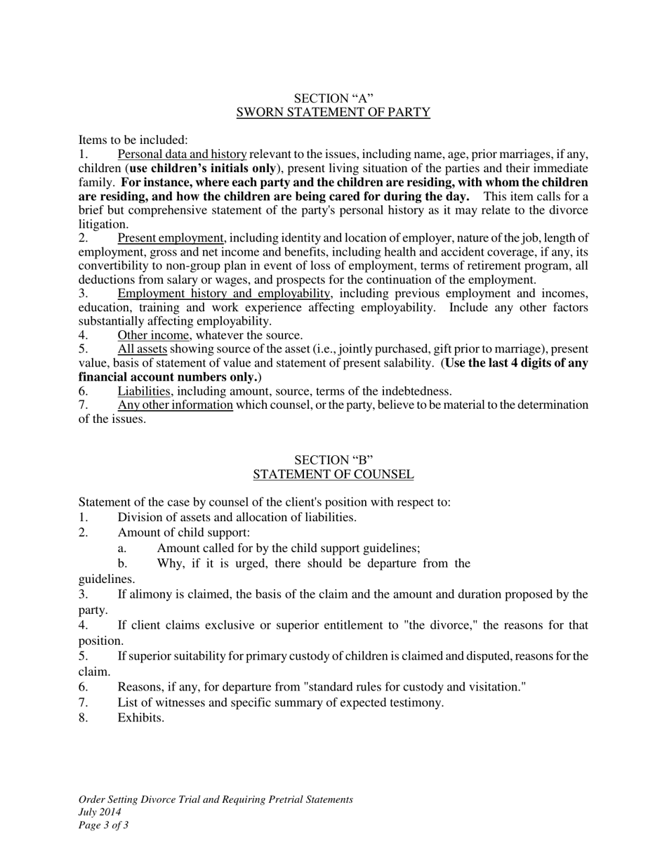
A: The Order requires the parties involved in the divorce to submit pretrial statements.

Q: What are pretrial statements?
A: Pretrial statements are documents prepared by each party containing information about the case, such as a summary of the issues, proposed witnesses, and exhibits.

Q: Why are pretrial statements required?
A: Pretrial statements help the court and the parties involved understand the issues and evidence that will be presented during the divorce trial.

Q: Is the Order applicable only in Wyoming?
A: Yes, the Order applies specifically to divorce trials in Wyoming.

ADVERTISEMENT

Form Details:

  • Released on July 1, 2014;
  • The latest edition currently provided by the Wyoming District Court;
  • Ready to use and print;
  • Easy to customize;
  • Compatible with most PDF-viewing applications;
  • Fill out the form in our online filing application.

Download a printable version of the form by clicking the link below or browse more documents and templates provided by the Wyoming District Court.

Download Order Setting Divorce Trial and Requiring Pretrial Statements - Wyoming

4.7 of 5 (17 votes)
  • Order Setting Divorce Trial and Requiring Pretrial Statements - Wyoming

    1

  • Order Setting Divorce Trial and Requiring Pretrial Statements - Wyoming, Page 2

    2

  • Order Setting Divorce Trial and Requiring Pretrial Statements - Wyoming, Page 3

    3

  • Order Setting Divorce Trial and Requiring Pretrial Statements - Wyoming, Page 1
  • Order Setting Divorce Trial and Requiring Pretrial Statements - Wyoming, Page 2
  • Order Setting Divorce Trial and Requiring Pretrial Statements - Wyoming, Page 3
Prev 1 2 3 Next
ADVERTISEMENT