Form LLC1077 Guide for Articles of Domestication (Foreign Limited Liability Company Intending to Become a Virginia Limited Liability Company) - Virginia

Form LLC1077 Guide for Articles of Domestication (Foreign Limited Liability Company Intending to Become a Virginia Limited Liability Company) - Virginia

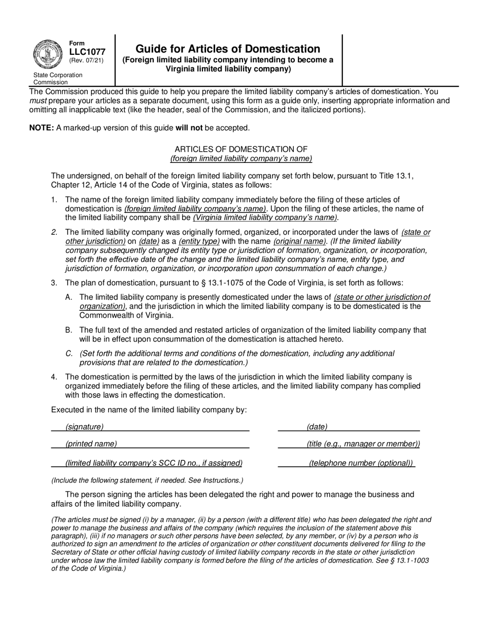
What Is Form LLC1077?

This is a legal form that was released by the Virginia State Corporation Commission - a government authority operating within Virginia. As of today, no separate filing guidelines for the form are provided by the issuing department.

FAQ

Q: What is the Form LLC1077?
A: Form LLC1077 is a guide for articles of domestication, specifically for a foreign limited liability company intending to become a Virginia limited liability company.

Q: What is a foreign limited liability company?
A: A foreign limited liability company refers to a company that was originally formed in another state or country.

Q: What is a domestication?
A: Domestication refers to the process of converting a foreign limited liability company into a Virginia limited liability company.

Q: Who should use Form LLC1077?
A: Any foreign limited liability company that wishes to become a Virginia limited liability company.

Q: What information is required in Form LLC1077?
A: Form LLC1077 requires information about the foreign limited liability company, the intended Virginia limited liability company, and the domestication process.

ADVERTISEMENT

Form Details:

  • Released on July 1, 2021;
  • The latest edition provided by the Virginia State Corporation Commission;
  • Easy to use and ready to print;
  • Quick to customize;
  • Compatible with most PDF-viewing applications;
  • Fill out the form in our online filing application.

Download a printable version of Form LLC1077 by clicking the link below or browse more documents and templates provided by the Virginia State Corporation Commission.

Download Form LLC1077 Guide for Articles of Domestication (Foreign Limited Liability Company Intending to Become a Virginia Limited Liability Company) - Virginia

4.7 of 5 (12 votes)
  • Form LLC1077 Guide for Articles of Domestication (Foreign Limited Liability Company Intending to Become a Virginia Limited Liability Company) - Virginia

    1

  • Form LLC1077 Guide for Articles of Domestication (Foreign Limited Liability Company Intending to Become a Virginia Limited Liability Company) - Virginia, Page 2

    2

  • Form LLC1077 Guide for Articles of Domestication (Foreign Limited Liability Company Intending to Become a Virginia Limited Liability Company) - Virginia, Page 1
  • Form LLC1077 Guide for Articles of Domestication (Foreign Limited Liability Company Intending to Become a Virginia Limited Liability Company) - Virginia, Page 2
Prev 1 2 Next
ADVERTISEMENT