Special Instructions for Agencies Affected by a Possible Lapse in Appropriations Starting on December 22, 2018

Special Instructions for Agencies Affected by a Possible Lapse in Appropriations Starting on December 22, 2018

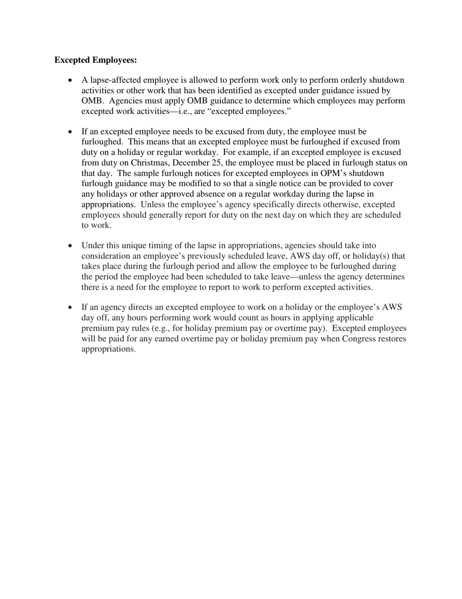
Special Instructions for Agencies Affected by a Possible Lapse in Appropriations Starting on December 22, 2018 is a 4-page legal document that was released by the Executive Office of the President of the United States and used nation-wide.

FAQ

Q: When is the possible lapse in appropriations starting?
A: December 22, 2018.

Q: What are the special instructions for agencies affected by the possible lapse in appropriations?
A: The special instructions are not provided in the given document.

Q: Which agencies are affected by the possible lapse in appropriations?
A: The document does not specify which agencies are affected.

Q: What action should agencies take?
A: The document does not mention any specific actions agencies should take.

Q: Who issued these special instructions?
A: The document does not indicate who issued the instructions.

ADVERTISEMENT

Form Details:

  • The latest edition currently provided by the Executive Office of the President of the United States;
  • Ready to use and print;
  • Easy to customize;
  • Compatible with most PDF-viewing applications;
  • Fill out the form in our online filing application.

Download a printable version of the form by clicking the link below or browse more legal forms and templates provided by the issuing department.

Download Special Instructions for Agencies Affected by a Possible Lapse in Appropriations Starting on December 22, 2018

4.6 of 5 (13 votes)
  • Special Instructions for Agencies Affected by a Possible Lapse in Appropriations Starting on December 22, 2018

    1

  • Special Instructions for Agencies Affected by a Possible Lapse in Appropriations Starting on December 22, 2018, Page 2

    2

  • Special Instructions for Agencies Affected by a Possible Lapse in Appropriations Starting on December 22, 2018, Page 3

    3

  • Special Instructions for Agencies Affected by a Possible Lapse in Appropriations Starting on December 22, 2018, Page 4

    4

  • Special Instructions for Agencies Affected by a Possible Lapse in Appropriations Starting on December 22, 2018, Page 1
  • Special Instructions for Agencies Affected by a Possible Lapse in Appropriations Starting on December 22, 2018, Page 2
  • Special Instructions for Agencies Affected by a Possible Lapse in Appropriations Starting on December 22, 2018, Page 3
  • Special Instructions for Agencies Affected by a Possible Lapse in Appropriations Starting on December 22, 2018, Page 4
Prev 1 2 3 4 Next
ADVERTISEMENT